jk.zdjt.com.png?v=1
2b96ae29cd6dbfbc08c54680a5b4cf2d
注射用胞磷胆碱钠
【成  份】本品主要成份为胞磷胆碱钠,,其化学名为胆碱胞嘧啶核苷二磷酸酯的单钠盐。。。。。。
【功效主治】用于急性颅脑外伤及脑手术后的意识障碍。。。。。。
【规  格】0.5g
【批准文号】国药准字H20057845
产品说明

【药品名称】通用名称:注射用胞磷胆碱钠

        英文名称:Citicoline Sodium for Injection

        汉语拼音:Zhusheyong Baolindanjianna

【成份】本品主要成份为胞磷胆碱钠,,其化学名为胆碱胞嘧啶核苷二磷酸酯的单钠盐。。。。。。

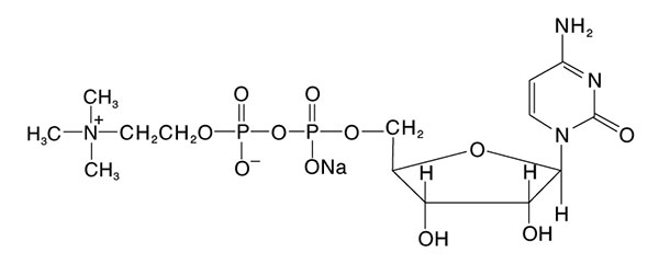
     其结构式为:

304am永利集团·(中国)有限公司官网

     分子式:C14H25N4NaO11P2

     分子量:510.31

     所有辅料名称为:甘露醇。。。。。。

【性状】本品为白色或类白色松散块状物或白色结晶或结晶性粉末。。。。。。

【顺应症】用于急性颅脑外伤及脑手术后的意识障碍。。。。。。

【规格】0.5g

【用法用量】静脉滴注T媚课0.25~0.5g,,逐日1次,,用5%或10%的葡萄糖注射液稀释后缓慢滴注。。。。。。5~10日为一疗程。。。。。。静脉注射T媚课0.1~0.2g。。。。。。肌肉注射:逐日0.1~0.3g,,分1~2次注射。。。。。。

【不良反映】1、全身:偶见发热、疲倦、过敏样反映,,严重者有过敏性休克的报告。。。。。。2、心血管系统:偶见暂时性血压下降、心动过缓和心动过速。。。。。。3、消化系统:偶见恶心、吐逆、食欲不振、胃痛、胃烧灼感、腹泻和肝功效异常。。。。。。4、呼吸系统:有爆发过敏性哮喘的报告,,严重者可泛起呼吸难题和喉水肿。。。。。。5、神经系统:偶见眩晕、震颤、头痛、失眠、兴奋、急躁担心和痉挛。。。。。。6、皮肤五官:偶见皮疹及一过性复视。。。。。。

【禁忌】对本品过敏者禁用。。。。。。

【注重事项】1、有药物过敏史的患者慎用;;;2、对伴有脑出血、脑水肿和颅压增高的严重急性颅脑损伤患者慎用;;;3、癫痫及低血压患者慎用;;;4、静脉注射时应只管放慢给药速率;;;5、肌注一般不接纳,,若用时应经常替换注射部位。。。。。。

【孕妇及哺乳期妇女用药】孕妇及哺乳期妇女用药的清静有用性尚未确立。。。。。。孕妇及哺乳期妇女慎用。。。。。。

【儿童用药】凭证病情和年岁适当调解剂量。。。。。。

【晚年用药】凭证病情和年岁适当调解剂量。。。。。。

【药物相互作用】本品用于震颤麻木病人时,,不宜与左旋多巴适用,,否则可引起肌僵直恶化。。。。。。

【药物过量】用量过大,,可能有恶心、吐逆、食欲不振、头痛、失眠、兴奋、痉挛等症状,,可减量,,并对症处理。。。。。。

【药理毒理】胞磷胆碱为核苷衍生物,,可增强脑干网状结构、尤其是与意识亲近相关的上行网状结构激动系统的性能;;;增强椎系一切的性能,,改善运动麻木;;;改善大脑循环,,通过镌汰大脑血流阻力,,增添大脑血流而增进大脑物质代谢,,对增进大脑功效恢复和增进苏醒等具有一定作用。。。。。。

【药代动力学】本品注射后血药浓度迅速下降,,30分钟降至注入时的1/3,,1~2小时基本稳固,,漫衍以肝内最多,,占10%。。。。。。在肝脏代谢为游离胆碱和胞苷二磷酸,,主要经肾脏和肺扫除,,原药半衰期为3.5小时,,主要代谢物胆碱的扫除半衰期为2小时。。。。。。本品较难通过血脑屏障,,进入脑内的药物很少,,仅占0.1%,,但药物在脑内停留时间很长,,注射后3小时内药物浓度达峰值,,并在24小时内坚持稳固;;;并且损伤脑比正常脑、受损半球比未受损半球的胞磷胆碱含量显着升高。。。。。。

【贮藏】遮光,,密闭( 10~30℃)生涯。。。。。。

【包装】西林瓶装。。。。。。10支/盒。。。。。。

【有用期】24个月

【执行标准】《中国药典》2020年版二部

【批准文号】国药准字H20057845

【上市允许持有人】名称:山西304am永利集团泰盛制药有限公司

            注册地点:山西省大同市经济手艺开发区第一医药园区

【生产企业】企业名称:山西304am永利集团泰盛制药有限公司

        生产地点:山西省大同市经济手艺开发区第一医药园区

        邮政编码:037300

        电话号码:0352-7290991

        传真号码:0352-7290990

2b96ae29cd6dbfbc08c54680a5b4cf2d
注射用胞磷胆碱钠
【成  份】本品主要成份为胞磷胆碱钠,,其化学名为胆碱胞嘧啶核苷二磷酸酯的单钠盐。。。。。。
【功效主治】用于急性颅脑外伤及脑手术后的意识障碍。。。。。。
【规  格】0.5g
【批准文号】国药准字H20057845
产品说明

【药品名称】通用名称:注射用胞磷胆碱钠

        英文名称:Citicoline Sodium for Injection

        汉语拼音:Zhusheyong Baolindanjianna

【成份】本品主要成份为胞磷胆碱钠,,其化学名为胆碱胞嘧啶核苷二磷酸酯的单钠盐。。。。。。

     其结构式为:

304am永利集团·(中国)有限公司官网

     分子式:C14H25N4NaO11P2

     分子量:510.31

     所有辅料名称为:甘露醇。。。。。。

【性状】本品为白色或类白色松散块状物或白色结晶或结晶性粉末。。。。。。

【顺应症】用于急性颅脑外伤及脑手术后的意识障碍。。。。。。

【规格】0.5g

【用法用量】静脉滴注T媚课0.25~0.5g,,逐日1次,,用5%或10%的葡萄糖注射液稀释后缓慢滴注。。。。。。5~10日为一疗程。。。。。。静脉注射T媚课0.1~0.2g。。。。。。肌肉注射:逐日0.1~0.3g,,分1~2次注射。。。。。。

【不良反映】1、全身:偶见发热、疲倦、过敏样反映,,严重者有过敏性休克的报告。。。。。。2、心血管系统:偶见暂时性血压下降、心动过缓和心动过速。。。。。。3、消化系统:偶见恶心、吐逆、食欲不振、胃痛、胃烧灼感、腹泻和肝功效异常。。。。。。4、呼吸系统:有爆发过敏性哮喘的报告,,严重者可泛起呼吸难题和喉水肿。。。。。。5、神经系统:偶见眩晕、震颤、头痛、失眠、兴奋、急躁担心和痉挛。。。。。。6、皮肤五官:偶见皮疹及一过性复视。。。。。。

【禁忌】对本品过敏者禁用。。。。。。

【注重事项】1、有药物过敏史的患者慎用;;;2、对伴有脑出血、脑水肿和颅压增高的严重急性颅脑损伤患者慎用;;;3、癫痫及低血压患者慎用;;;4、静脉注射时应只管放慢给药速率;;;5、肌注一般不接纳,,若用时应经常替换注射部位。。。。。。

【孕妇及哺乳期妇女用药】孕妇及哺乳期妇女用药的清静有用性尚未确立。。。。。。孕妇及哺乳期妇女慎用。。。。。。

【儿童用药】凭证病情和年岁适当调解剂量。。。。。。

【晚年用药】凭证病情和年岁适当调解剂量。。。。。。

【药物相互作用】本品用于震颤麻木病人时,,不宜与左旋多巴适用,,否则可引起肌僵直恶化。。。。。。

【药物过量】用量过大,,可能有恶心、吐逆、食欲不振、头痛、失眠、兴奋、痉挛等症状,,可减量,,并对症处理。。。。。。

【药理毒理】胞磷胆碱为核苷衍生物,,可增强脑干网状结构、尤其是与意识亲近相关的上行网状结构激动系统的性能;;;增强椎系一切的性能,,改善运动麻木;;;改善大脑循环,,通过镌汰大脑血流阻力,,增添大脑血流而增进大脑物质代谢,,对增进大脑功效恢复和增进苏醒等具有一定作用。。。。。。

【药代动力学】本品注射后血药浓度迅速下降,,30分钟降至注入时的1/3,,1~2小时基本稳固,,漫衍以肝内最多,,占10%。。。。。。在肝脏代谢为游离胆碱和胞苷二磷酸,,主要经肾脏和肺扫除,,原药半衰期为3.5小时,,主要代谢物胆碱的扫除半衰期为2小时。。。。。。本品较难通过血脑屏障,,进入脑内的药物很少,,仅占0.1%,,但药物在脑内停留时间很长,,注射后3小时内药物浓度达峰值,,并在24小时内坚持稳固;;;并且损伤脑比正常脑、受损半球比未受损半球的胞磷胆碱含量显着升高。。。。。。

【贮藏】遮光,,密闭( 10~30℃)生涯。。。。。。

【包装】西林瓶装。。。。。。10支/盒。。。。。。

【有用期】24个月

【执行标准】《中国药典》2020年版二部

【批准文号】国药准字H20057845

【上市允许持有人】名称:山西304am永利集团泰盛制药有限公司

            注册地点:山西省大同市经济手艺开发区第一医药园区

【生产企业】企业名称:山西304am永利集团泰盛制药有限公司

        生产地点:山西省大同市经济手艺开发区第一医药园区

        邮政编码:037300

        电话号码:0352-7290991

        传真号码:0352-7290990