jk.zdjt.com.png?v=1
5fa1fef3005488fdd4802466f0ed3ac2
注射用苯唑西林钠
【成  份】本品主要成份:苯唑西林钠。。。
【功效主治】本品仅适用于治疗产青霉素酶葡萄球菌熏染,,,,,包括败血症、心内膜炎、肺炎和皮肤、软组织熏染等。。。也可用于化脓性链球菌或肺炎球菌与耐青霉素葡萄球菌所致的混淆熏染。。。
【规  格】按C19H19N3O5S计0.5g
【批准文号】国药准字H14020371
产品说明

【药品名称】通用名称:注射用苯唑西林钠

        英文名称:Oxacillin Sodium for lnjection

        汉语拼音:Zhusheyong Benzuoxilinna

【成份】本品主要成份:苯唑西林钠。。。

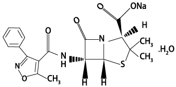
  其化学结构式:

注射用苯唑西林钠

     分子式:C19H18N3NaO5S·H2O

     分子量:441.44

【性状】本品为白色粉末或结晶性粉末。。。

【顺应症】本品仅适用于治疗产青霉素酶葡萄球菌熏染,,,,,包括败血症、心内膜炎、肺炎和皮肤、软组织熏染等。。。也可用于化脓性链球菌或肺炎球菌与耐青霉素葡萄球菌所致的混淆熏染。。。

【规格】按C19H18N3NaO5S·H2O计0.5g

【用法用量】本品供肌内注射时,,,,,每0.5g加灭菌注射用水2.8ml。。。肌内注射成人一日4~6g,,,,,分4次给药;;;;;静脉滴注成人一日4~8g,,,,,分2~4次给药,,,,,严重熏染逐日剂量可增添至12g。。。小儿体重40kg以下者,,,,,每6小时按体重给予12.5~25mg/kg,,,,,体重凌驾40kg者予以成人剂量。。。新生儿体重低于2kg者,,,,,日龄1~14天者每12小时按体重25mg/kg,,,,,日龄15~30天者每8小时按体重25mg/kg;;;;;体重凌驾2kg者,,,,,日龄1~14天者每8小时按体重25mg/kg,,,,,日龄15~30天者每6小时按体重25mg/kg。。。轻、中度肾功效减退患者不需调解剂量,,,,,严重肾功效减退患者应阻止应用大剂量,,,,,以防中枢神经系统毒性反映爆发。。。

【不良反映】1、过敏反映:荨麻疹等种种皮疹较常见,,,,,白细胞镌汰,,,,,间质性肾炎、哮喘爆发等和血清病型反映少见;;;;;过敏性休克偶见,,,,,一旦爆发,,,,,必需就地抢救,,,,,予以坚持气道流通、吸氧及使用肾上腺素、糖皮质激素等治疗步伐。。。2、静脉使用本品偶可爆发恶心、吐逆和血清氨基转移酶升高。。。3、大剂量静脉滴注本品可引起抽搐等中枢神经系统毒性反映。。。4、有报道婴儿使用大剂量本品后泛起血尿、卵白尿和尿毒症。。。

【禁忌】有青霉素类药物过敏史者或青霉素皮肤试验阳性患者禁用。。。

【注重事项】1、应用本品前需详细询问药物过敏史并举行青霉素皮肤试验。。。2、对一种青霉素过敏者可能对其他青霉素类药物、青霉胺过敏,,,,,有青霉素过敏性休克史者约5%~7%可能保存对头孢菌素类药物交织过敏。。。3、有哮喘、湿疹、枯草热、荨麻疹等过敏性疾病及肝病患者应慎用本品。。。

【孕妇及哺乳期妇女用药】现在缺乏本品对孕妇影响的充分研究,,,,,以是孕妇应仅在确有须要时使用本品。。。少量本品从乳汁中渗透,,,,,哺乳期妇女用药时宜暂停哺乳。。。

【儿童用药】新生儿尤其早产儿应慎用。。。

【晚年用药】尚不明确。。。

【药物相互作用】1、本品与氨基糖苷类、去甲肾上腺素、间羟胺、苯巴比妥、维生素B族、维生素C等药物保存配伍禁忌,,,,,不宜同瓶滴注。。。2、丙磺舒可镌汰苯唑西林的肾小管渗透,,,,,延伸本品的血清半衰期。。。3、阿司匹林、磺胺药可抑制本品对血清卵白的连系,,,,,提高本品的游离血药浓度。。。

【药物过量】药物过量主要体现是中枢神经系统不良反映,,,,,应实时停药并予对症、支持治疗。。。血液透析不可扫除苯唑西林。。。

【药理毒理】本品是耐酸和耐青霉素酶青霉素。。。苯唑西林对产青霉素酶葡萄球菌具有优异抗菌活性,,,,,对种种链球菌及不产青霉素酶的葡萄球菌抗菌活性则逊于青霉素G。。。苯唑西林通过抑制细菌细胞壁合成而施展杀菌作用。。。

【药代动力学】苯唑西林耐酸,,,,,口服可吸收给药量的30%~33%。。。肌内注射苯唑西林0.5g,,,,,0.5小时抵达血药峰浓度(Cmax),,,,,为16.7mg/L;;;;;剂量加倍,,,,,血药浓度亦倍增。。。静脉滴注苯唑西林0.25g,,,,,滴注竣事时血药浓度为9.7mg/L,,,,,2小时后为0.16mg/L。。。出生8~15日和20~21日的新生儿肌内注射20mg/kg后,,,,,血药峰浓度划分为51.5mg/L和47.0mg/L。。。苯唑西林卵白连系率为93%。。。在肝、肾、肠、脾、胸腔积液和枢纽腔液中均可抵达有用治疗浓度,,,,,在腹水和痰液中浓度较低。。。苯唑西林难以透过正常血脑屏障,,,,,可透过胎盘进入胎儿体内,,,,,亦有少量渗透至乳汁。。。本品康健成人消除半衰期为0.4~0.7小时;;;;;出生8~15日和20~21日的新生儿的消除半衰期划分达1.6天和1.2天。。。苯唑西林约49%在肝脏代谢,,,,,肌内注射后约40%以原型药在尿中渗透,,,,,约10%药物经胆道渗透。。。血液透析和腹膜透析均不可扫除本品。。。

【贮藏】密闭,,,,,在干燥处(10~30℃)生涯。。。

【包装】西林瓶装。。。10支/盒。。。

【有用期】24个月

【执行标准】《中国药典》2020年版二部

【批准文号】国药准字H14020371

【上市允许持有人】名称:山西304am永利集团泰盛制药有限公司

            注册地点:山西省大同市经济手艺开发区第一医药园区

【生产企业】企业名称:山西304am永利集团泰盛制药有限公司

        生产地点:山西省大同市经济手艺开发区第一医药园区

        邮政编码:037300

        电话号码:0352—7290991

        传真号码:0352—7290990

5fa1fef3005488fdd4802466f0ed3ac2
注射用苯唑西林钠
【成  份】本品主要成份:苯唑西林钠。。。
【功效主治】本品仅适用于治疗产青霉素酶葡萄球菌熏染,,,,,包括败血症、心内膜炎、肺炎和皮肤、软组织熏染等。。。也可用于化脓性链球菌或肺炎球菌与耐青霉素葡萄球菌所致的混淆熏染。。。
【规  格】按C19H19N3O5S计0.5g
【批准文号】国药准字H14020371
产品说明

【药品名称】通用名称:注射用苯唑西林钠

        英文名称:Oxacillin Sodium for lnjection

        汉语拼音:Zhusheyong Benzuoxilinna

【成份】本品主要成份:苯唑西林钠。。。

  其化学结构式:

注射用苯唑西林钠

     分子式:C19H18N3NaO5S·H2O

     分子量:441.44

【性状】本品为白色粉末或结晶性粉末。。。

【顺应症】本品仅适用于治疗产青霉素酶葡萄球菌熏染,,,,,包括败血症、心内膜炎、肺炎和皮肤、软组织熏染等。。。也可用于化脓性链球菌或肺炎球菌与耐青霉素葡萄球菌所致的混淆熏染。。。

【规格】按C19H18N3NaO5S·H2O计0.5g

【用法用量】本品供肌内注射时,,,,,每0.5g加灭菌注射用水2.8ml。。。肌内注射成人一日4~6g,,,,,分4次给药;;;;;静脉滴注成人一日4~8g,,,,,分2~4次给药,,,,,严重熏染逐日剂量可增添至12g。。。小儿体重40kg以下者,,,,,每6小时按体重给予12.5~25mg/kg,,,,,体重凌驾40kg者予以成人剂量。。。新生儿体重低于2kg者,,,,,日龄1~14天者每12小时按体重25mg/kg,,,,,日龄15~30天者每8小时按体重25mg/kg;;;;;体重凌驾2kg者,,,,,日龄1~14天者每8小时按体重25mg/kg,,,,,日龄15~30天者每6小时按体重25mg/kg。。。轻、中度肾功效减退患者不需调解剂量,,,,,严重肾功效减退患者应阻止应用大剂量,,,,,以防中枢神经系统毒性反映爆发。。。

【不良反映】1、过敏反映:荨麻疹等种种皮疹较常见,,,,,白细胞镌汰,,,,,间质性肾炎、哮喘爆发等和血清病型反映少见;;;;;过敏性休克偶见,,,,,一旦爆发,,,,,必需就地抢救,,,,,予以坚持气道流通、吸氧及使用肾上腺素、糖皮质激素等治疗步伐。。。2、静脉使用本品偶可爆发恶心、吐逆和血清氨基转移酶升高。。。3、大剂量静脉滴注本品可引起抽搐等中枢神经系统毒性反映。。。4、有报道婴儿使用大剂量本品后泛起血尿、卵白尿和尿毒症。。。

【禁忌】有青霉素类药物过敏史者或青霉素皮肤试验阳性患者禁用。。。

【注重事项】1、应用本品前需详细询问药物过敏史并举行青霉素皮肤试验。。。2、对一种青霉素过敏者可能对其他青霉素类药物、青霉胺过敏,,,,,有青霉素过敏性休克史者约5%~7%可能保存对头孢菌素类药物交织过敏。。。3、有哮喘、湿疹、枯草热、荨麻疹等过敏性疾病及肝病患者应慎用本品。。。

【孕妇及哺乳期妇女用药】现在缺乏本品对孕妇影响的充分研究,,,,,以是孕妇应仅在确有须要时使用本品。。。少量本品从乳汁中渗透,,,,,哺乳期妇女用药时宜暂停哺乳。。。

【儿童用药】新生儿尤其早产儿应慎用。。。

【晚年用药】尚不明确。。。

【药物相互作用】1、本品与氨基糖苷类、去甲肾上腺素、间羟胺、苯巴比妥、维生素B族、维生素C等药物保存配伍禁忌,,,,,不宜同瓶滴注。。。2、丙磺舒可镌汰苯唑西林的肾小管渗透,,,,,延伸本品的血清半衰期。。。3、阿司匹林、磺胺药可抑制本品对血清卵白的连系,,,,,提高本品的游离血药浓度。。。

【药物过量】药物过量主要体现是中枢神经系统不良反映,,,,,应实时停药并予对症、支持治疗。。。血液透析不可扫除苯唑西林。。。

【药理毒理】本品是耐酸和耐青霉素酶青霉素。。。苯唑西林对产青霉素酶葡萄球菌具有优异抗菌活性,,,,,对种种链球菌及不产青霉素酶的葡萄球菌抗菌活性则逊于青霉素G。。。苯唑西林通过抑制细菌细胞壁合成而施展杀菌作用。。。

【药代动力学】苯唑西林耐酸,,,,,口服可吸收给药量的30%~33%。。。肌内注射苯唑西林0.5g,,,,,0.5小时抵达血药峰浓度(Cmax),,,,,为16.7mg/L;;;;;剂量加倍,,,,,血药浓度亦倍增。。。静脉滴注苯唑西林0.25g,,,,,滴注竣事时血药浓度为9.7mg/L,,,,,2小时后为0.16mg/L。。。出生8~15日和20~21日的新生儿肌内注射20mg/kg后,,,,,血药峰浓度划分为51.5mg/L和47.0mg/L。。。苯唑西林卵白连系率为93%。。。在肝、肾、肠、脾、胸腔积液和枢纽腔液中均可抵达有用治疗浓度,,,,,在腹水和痰液中浓度较低。。。苯唑西林难以透过正常血脑屏障,,,,,可透过胎盘进入胎儿体内,,,,,亦有少量渗透至乳汁。。。本品康健成人消除半衰期为0.4~0.7小时;;;;;出生8~15日和20~21日的新生儿的消除半衰期划分达1.6天和1.2天。。。苯唑西林约49%在肝脏代谢,,,,,肌内注射后约40%以原型药在尿中渗透,,,,,约10%药物经胆道渗透。。。血液透析和腹膜透析均不可扫除本品。。。

【贮藏】密闭,,,,,在干燥处(10~30℃)生涯。。。

【包装】西林瓶装。。。10支/盒。。。

【有用期】24个月

【执行标准】《中国药典》2020年版二部

【批准文号】国药准字H14020371

【上市允许持有人】名称:山西304am永利集团泰盛制药有限公司

            注册地点:山西省大同市经济手艺开发区第一医药园区

【生产企业】企业名称:山西304am永利集团泰盛制药有限公司

        生产地点:山西省大同市经济手艺开发区第一医药园区

        邮政编码:037300

        电话号码:0352—7290991

        传真号码:0352—7290990