jk.zdjt.com.png?v=1
2e83642401bca286b413316c9632ce4b
注射用青霉素钠
【成  份】本品的主要成份为青霉素钠。。。。。
【功效主治】青霉素适用于敏感细菌所致的种种熏染,,,,,如脓肿、菌血症、肺炎和心内膜炎等。。。。。
【规  格】0.48g(80万单位)
【批准文号】国药准字H14020377
产品说明

【药品名称】通用名称:注射用青霉素钠

        英文名称:Benzylpenicillin Sodium for Injection

        汉语拼音:Zhusheyong Qingmeisuna

【成份】本品的主要成份为青霉素钠。。。。。

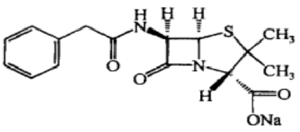
     化学名称:(2S,,,,,5R,,,,,6R)-3,,,,,3-二甲基-6-(2-苯乙酰氨基)-7-氧代-4-硫杂-1-氮杂双环[3.2.0]庚烷-2-甲酸钠盐。。。。。

     化学结构式:

注射用青霉素钠

     分子式:C16H17N2NaC

     分子量:356.38

【性状】本品为白色结晶性粉末。。。。。

【顺应症】青霉素适用于敏感细菌所致的种种熏染,,,,,如脓肿、菌血症、肺炎和心内膜炎等。。。。。其中青霉素为以下熏染的首选药物:1、溶血性链球菌熏染,,,,,如咽炎、扁桃体炎、猩红热、丹毒、蜂窝织炎和产褥热等。。。。。2、肺炎链球菌熏染如肺炎、中耳炎、脑膜炎和菌血症等。。。。。3、不产青霉素酶葡萄球菌熏染。。。。。4、炭疽。。。。。5、破伤风、气性坏疽等梭状芽孢杆菌熏染。。。。。6、梅毒(包括先天性梅毒)。。。。。7、钩端螺旋体病。。。。。8、回归热。。。。。9、白喉。。。。。10、青霉素与氨基糖苷类药物联适用于治疗草绿色链球菌心内膜炎。。。。。青霉素亦可用于治疗:1、盛行性脑脊髓膜炎。。。。。2、放线菌病。。。。。3、淋病。。。。。4、奋森咽峡炎。。。。。5、莱姆病。。。。。6、鼠咬热。。。。。7、李斯特菌熏染。。。。。8、除懦弱拟杆菌以外的许多厌氧菌熏染。。。。。风湿性心脏病或先天性心脏病患者举行口腔、牙科、胃肠道或泌尿生殖道手术和操作前,,,,,可用青霉素预防熏染性心内膜炎爆发。。。。。

【规格】0.48g(80万单位)

【用法用量】青霉素由肌内注射或静脉滴注给药。。。。。1、成人:肌内注射,,,,,一日80万~200万单位,,,,,分3~4次给药;;;静脉滴注:一日200万~2000万单位,,,,,分2~4次给药。。。。。2、小儿:肌内注射,,,,,按体重2.5万单位/kg,,,,,每12小时给药1次;;;静脉滴注:逐日按体重5万~20万/kg,,,,,分2~4次给药。。。。。3、新生儿(足月产)T媚课按体重5万单位/kg,,,,,肌内注射或静脉滴注给药;;;出生第一周每12小时1次,,,,,一周以上者每8小时1次,,,,,严重熏染每6小时1次。。。。。4、早产儿T媚课按体重3万单位/kg,,,,,出生第一周每12小时1次,,,,,2~4周者每8小时1次;;;以后每6小时1次。。。。。5、肾功效减退者:轻、中度肾功效损害者使用通例剂量不需减量,,,,,严重肾功效损害者应延伸给药距离或调解剂量。。。。。当内生肌酐扫除率为10~50ml/分时,,,,,给药间期自8小时延伸至8~12小时或给药间期稳固、剂量镌汰25%;;;内生肌酐扫除率小于10ml/分时,,,,,给药间期延伸至12~18小时或每次剂量减至正常剂量的25%~50%而给药间期稳固。。。。。6、肌内注射时,,,,,每50万单位青霉素钠消融于1ml灭菌注射用水,,,,,凌驾50万单位则需加灭菌注射用水2ml,,,,,不应以氯化钠注射液为溶剂;;;静脉滴注时给药速率不可凌驾每分钟50万单位,,,,,以免爆发中枢神经系统毒性反映。。。。。

【不良反映】1、过敏反映:青霉素过敏反映较常见,,,,,包括荨麻疹等种种皮疹、白细胞镌汰、间质性肾炎、哮喘爆发等和血清病型反映;;;过敏性休克偶见,,,,,一旦爆发,,,,,必需就地抢救,,,,,予以坚持气道流通、吸氧及使用肾上腺素、糖皮质激素等治疗步伐。。。。。2、毒性反映:少见,,,,,但静脉滴注大剂量本品或鞘内给药时,,,,,可因脑脊液药物浓度过高导致抽搐、肌肉阵挛、昏厥及严重精神症状等(青霉素脑病)。。。。。此种反映多见于婴儿、晚年人和肾功效不全患者。。。。。3、赫氏反映和治疗矛盾:用青霉素治疗梅毒、钩端螺旋体病等疾病时可由于病原体殒命致症状加剧,,,,,称为赫氏反映;;;治疗矛盾也见于梅毒患者,,,,,系治疗后梅毒病灶消逝过快,,,,,而组织修补相对较慢或病灶部位纤维组织缩短,,,,,故障器官功效所致。。。。。4、二重熏染:可泛起耐青霉素金葡菌、革兰阴性杆菌或念珠菌等二重熏染。。。。。5、应用大剂量青霉素钠可因摄入大宗钠盐而导致心力衰竭。。。。。

【禁忌】有青霉素类药物过敏史或青霉素皮肤试验阳性患者禁用。。。。。

【注重事项】1、应用本品前需详细询问药物过敏史并举行青霉素皮肤试验,,,,,皮试液为每1ml含500单位青霉素,,,,,皮内注射0.05~0.1ml,,,,,经20分钟后,,,,,视察皮试效果,,,,,呈阳性反映者禁用。。。。。必需使用者脱敏后应用,,,,,应随时作好过敏反映的抢救准备。。。。。2、对一种青霉素过敏者可能对其他青霉素类药物、青霉胺过敏,,,,,有哮喘、湿疹、枯草热、荨麻疹等过敏性疾病患者应慎用本品。。。。。3、青霉素水溶液在室温不稳固,,,,,20单位/ml青霉素溶液30℃放置24小时效价下降56%,,,,,青霉烯酸含量增添200倍,,,,,因此应用本品须新鲜配制。。。。。4、大剂量使用本品时应按期检测电解质。。。。。5、对诊断的滋扰:(1)应用青霉素时代,,,,,以硫酸铜法测定尿糖时可能泛起假阳性,,,,,而用葡萄糖酶规则不受影响。。。。。(2)静脉滴注本品可泛起血钠测定值增高。。。。。(3)本品可使血清丙氨酸氨基转移酶或门冬氨酸氨基转移酶升高。。。。。

【孕妇及哺乳期妇女用药】动物生殖试验未发明本品引起胎儿损害。。。。。但尚未在孕妇举行严酷比照试验以除外这类药物对胎儿的不良影响,,,,,以是孕妇应仅在确有须要时使用本品。。。。。少量本品从乳汁中渗透,,,,,哺乳期妇女用药时宜暂停哺乳。。。。。

【儿童用药】尚不明确。。。。。

【晚年用药】尚不明确。。。。。

【药物相互作用】1、氯霉素、红霉素、四环素类、磺胺类可滋扰本品活性,,,,,故本品不宜与这些药物适用。。。。。2、丙磺舒、阿司匹林、吲哚美辛、保泰松和磺胺药镌汰青霉素的肾小管渗透而延伸本品的血清半衰期。。。。。青霉素可增强华法林的抗凝作用。。。。。3、本品与重金属,,,,,特殊是铜、锌、汞呈配伍禁忌。。。。。4、青霉素静脉输液中加入头孢噻吩、林可霉素、四环素、万古霉素、琥乙红霉素、两性霉素B、去甲肾上腺素、间羟胺、苯妥英钠、盐酸羟嗪、丙氯拉嗪、异丙嗪、维生素B族、维生素C族等后将泛起污浊。。。。。5、本品与氨基糖苷类抗生素同瓶滴注可导致两者抗菌活性降低,,,,,因此不可置统一容器内给药。。。。。

【药物过量】药物过量的主要体现是中枢神经系统不良反映,,,,,应实时停药并予对症、支持治疗。。。。。血液透析可扫除青霉素。。。。。

【药理毒理】青霉素对溶血性链球菌等链球菌属、肺炎链球菌和不产青霉素酶的葡萄球菌具有优异抗菌作用。。。。。对肠球菌有中等度抗菌作用,,,,,淋病奈瑟菌、脑膜炎奈瑟菌、白喉棒状杆菌、炭疽芽孢杆菌、牛型放线菌、念珠状链杆菌、李斯特菌、钩端螺旋体和梅毒螺旋体对本品敏感。。。。。本品对流感嗜血杆菌和百日咳鲍特氏菌亦具一定抗菌活性,,,,,其他革兰氏阴性需氧或兼性厌氧菌对本品敏感性差。。。。。本品对梭状芽孢杆菌属、消化链球菌厌氧菌以及产玄色素拟杆菌等具优异抗菌作用,,,,,对懦弱拟杆菌的抗菌作用差。。。。。青霉素通过抑制细菌细胞壁合成而施展杀菌作用。。。。。

【药代动力学】肌内注射后0.5小时抵达血药峰浓度(Cmax),,,,,肌内注射100万单位(600mg)的峰浓度为20000单位/L(12mg/L)。。。。。新生儿按体重肌注青霉素2.5万单位/kg(15mg/kg),,,,,经0.5~1小时后,,,,,平均血药浓度约为22mg/L,,,,,12小时后即降至9.6~19.2mg/L。。。。。成人每2小时静脉注射本品200万单位或每3小时注射300万单位,,,,,平均血药浓度约为19.2mg/L。。。。。于5分钟内静脉注射500万单位(3g)青霉素,,,,,给药后5分钟和10分钟的平均血药浓度为400mg/L和273mg/L,,,,,1小时即降至45mg/L,,,,,4小时仅有3.0mg/L。。。。。本品普遍漫衍于组织、体液中。。。。。胸、腹腔和枢纽腔液中浓度约为血清浓度的50%。。。。。本品不易透入眼、骨组织、无血供区域和脓腔中,,,,,易透入有炎症的组织。。。。。青霉素可通过胎盘,,,,,除在妊娠头3个月羊水中青霉素浓度较低外,,,,,一般在胎儿和羊水中皆可获得有用治疗浓度。。。。。本品难以透过血-脑脊液屏障,,,,,在无炎症脑脊液中的浓度仅为血药浓度的1%~3%。。。。。在有炎症的脑脊液中浓度可达同期血药浓度的5%~30%。。。。。乳汁中可含有少量青霉素,,,,,其浓度为血药浓度的5%~20%。。。。。本品血浆卵白连系率为45%~65%。。。。。血消除半衰期(T1/2)约为30分钟,,,,,肾功效减退者可延伸至2.5~10小时,,,,,晚年人和新生儿也可延伸。。。。。新生儿的T1/2与体重、日龄有关,,,,,体重低于2公斤者,,,,,7日内和8~14日龄新生儿的T1/2划分为4.9和2.6小时;;;体重高于2公斤者,,,,,7日内和8~14日龄的T1/2则划分为2.6小时和2.1小时。。。。。本品约19%在肝内代谢。。。。。肾功效正常情形下,,,,,约75%的给药量于6小时内自肾脏倾轧。。。。。青霉素主要通过肾小管渗透渗透,,,,,在康健成年人经肾小球滤过渗透者仅占10%左右;;;但在新生儿,,,,,青霉素则主要经肾小球滤过渗透。。。。。亦有少量青霉素经胆道渗透,,,,,肌内注射600mg青霉素后2~4小时胆汁中浓度抵达峰值,,,,,为10~20mg/L。。。。。由于青霉素在被肠道细菌所产青霉素酶破损,,,,,粪便中不含或仅含少量青霉素。。。。。血液透析可扫除本品,,,,,而腹膜透析则不可。。。。。

【贮藏】密闭,,,,,在凉暗(避光并不凌驾20℃)干燥处生涯。。。。。

【包装】模制瓶装。。。。。50支/盒。。。。。

【有用期】24个月。。。。。

【执行标准】《中国药典》2015年版第一增补版

【批准文号】国药准字H14020377

【药品上市允许持有人】山西304am永利集团泰盛制药有限公司

【药品上市允许持有人】山西省大同市经济手艺开发区第一医药园区

【生产企业】企业名称:山西304am永利集团泰盛制药有限公司

        生产地点:山西省大同市经济手艺开发区第一医药园区

        邮政编码:037300

        电话号码:0352—7290991

        传真号码:0352—7290990

2e83642401bca286b413316c9632ce4b
注射用青霉素钠
【成  份】本品的主要成份为青霉素钠。。。。。
【功效主治】青霉素适用于敏感细菌所致的种种熏染,,,,,如脓肿、菌血症、肺炎和心内膜炎等。。。。。
【规  格】0.48g(80万单位)
【批准文号】国药准字H14020377
产品说明

【药品名称】通用名称:注射用青霉素钠

        英文名称:Benzylpenicillin Sodium for Injection

        汉语拼音:Zhusheyong Qingmeisuna

【成份】本品的主要成份为青霉素钠。。。。。

     化学名称:(2S,,,,,5R,,,,,6R)-3,,,,,3-二甲基-6-(2-苯乙酰氨基)-7-氧代-4-硫杂-1-氮杂双环[3.2.0]庚烷-2-甲酸钠盐。。。。。

     化学结构式:

注射用青霉素钠

     分子式:C16H17N2NaC

     分子量:356.38

【性状】本品为白色结晶性粉末。。。。。

【顺应症】青霉素适用于敏感细菌所致的种种熏染,,,,,如脓肿、菌血症、肺炎和心内膜炎等。。。。。其中青霉素为以下熏染的首选药物:1、溶血性链球菌熏染,,,,,如咽炎、扁桃体炎、猩红热、丹毒、蜂窝织炎和产褥热等。。。。。2、肺炎链球菌熏染如肺炎、中耳炎、脑膜炎和菌血症等。。。。。3、不产青霉素酶葡萄球菌熏染。。。。。4、炭疽。。。。。5、破伤风、气性坏疽等梭状芽孢杆菌熏染。。。。。6、梅毒(包括先天性梅毒)。。。。。7、钩端螺旋体病。。。。。8、回归热。。。。。9、白喉。。。。。10、青霉素与氨基糖苷类药物联适用于治疗草绿色链球菌心内膜炎。。。。。青霉素亦可用于治疗:1、盛行性脑脊髓膜炎。。。。。2、放线菌病。。。。。3、淋病。。。。。4、奋森咽峡炎。。。。。5、莱姆病。。。。。6、鼠咬热。。。。。7、李斯特菌熏染。。。。。8、除懦弱拟杆菌以外的许多厌氧菌熏染。。。。。风湿性心脏病或先天性心脏病患者举行口腔、牙科、胃肠道或泌尿生殖道手术和操作前,,,,,可用青霉素预防熏染性心内膜炎爆发。。。。。

【规格】0.48g(80万单位)

【用法用量】青霉素由肌内注射或静脉滴注给药。。。。。1、成人:肌内注射,,,,,一日80万~200万单位,,,,,分3~4次给药;;;静脉滴注:一日200万~2000万单位,,,,,分2~4次给药。。。。。2、小儿:肌内注射,,,,,按体重2.5万单位/kg,,,,,每12小时给药1次;;;静脉滴注:逐日按体重5万~20万/kg,,,,,分2~4次给药。。。。。3、新生儿(足月产)T媚课按体重5万单位/kg,,,,,肌内注射或静脉滴注给药;;;出生第一周每12小时1次,,,,,一周以上者每8小时1次,,,,,严重熏染每6小时1次。。。。。4、早产儿T媚课按体重3万单位/kg,,,,,出生第一周每12小时1次,,,,,2~4周者每8小时1次;;;以后每6小时1次。。。。。5、肾功效减退者:轻、中度肾功效损害者使用通例剂量不需减量,,,,,严重肾功效损害者应延伸给药距离或调解剂量。。。。。当内生肌酐扫除率为10~50ml/分时,,,,,给药间期自8小时延伸至8~12小时或给药间期稳固、剂量镌汰25%;;;内生肌酐扫除率小于10ml/分时,,,,,给药间期延伸至12~18小时或每次剂量减至正常剂量的25%~50%而给药间期稳固。。。。。6、肌内注射时,,,,,每50万单位青霉素钠消融于1ml灭菌注射用水,,,,,凌驾50万单位则需加灭菌注射用水2ml,,,,,不应以氯化钠注射液为溶剂;;;静脉滴注时给药速率不可凌驾每分钟50万单位,,,,,以免爆发中枢神经系统毒性反映。。。。。

【不良反映】1、过敏反映:青霉素过敏反映较常见,,,,,包括荨麻疹等种种皮疹、白细胞镌汰、间质性肾炎、哮喘爆发等和血清病型反映;;;过敏性休克偶见,,,,,一旦爆发,,,,,必需就地抢救,,,,,予以坚持气道流通、吸氧及使用肾上腺素、糖皮质激素等治疗步伐。。。。。2、毒性反映:少见,,,,,但静脉滴注大剂量本品或鞘内给药时,,,,,可因脑脊液药物浓度过高导致抽搐、肌肉阵挛、昏厥及严重精神症状等(青霉素脑病)。。。。。此种反映多见于婴儿、晚年人和肾功效不全患者。。。。。3、赫氏反映和治疗矛盾:用青霉素治疗梅毒、钩端螺旋体病等疾病时可由于病原体殒命致症状加剧,,,,,称为赫氏反映;;;治疗矛盾也见于梅毒患者,,,,,系治疗后梅毒病灶消逝过快,,,,,而组织修补相对较慢或病灶部位纤维组织缩短,,,,,故障器官功效所致。。。。。4、二重熏染:可泛起耐青霉素金葡菌、革兰阴性杆菌或念珠菌等二重熏染。。。。。5、应用大剂量青霉素钠可因摄入大宗钠盐而导致心力衰竭。。。。。

【禁忌】有青霉素类药物过敏史或青霉素皮肤试验阳性患者禁用。。。。。

【注重事项】1、应用本品前需详细询问药物过敏史并举行青霉素皮肤试验,,,,,皮试液为每1ml含500单位青霉素,,,,,皮内注射0.05~0.1ml,,,,,经20分钟后,,,,,视察皮试效果,,,,,呈阳性反映者禁用。。。。。必需使用者脱敏后应用,,,,,应随时作好过敏反映的抢救准备。。。。。2、对一种青霉素过敏者可能对其他青霉素类药物、青霉胺过敏,,,,,有哮喘、湿疹、枯草热、荨麻疹等过敏性疾病患者应慎用本品。。。。。3、青霉素水溶液在室温不稳固,,,,,20单位/ml青霉素溶液30℃放置24小时效价下降56%,,,,,青霉烯酸含量增添200倍,,,,,因此应用本品须新鲜配制。。。。。4、大剂量使用本品时应按期检测电解质。。。。。5、对诊断的滋扰:(1)应用青霉素时代,,,,,以硫酸铜法测定尿糖时可能泛起假阳性,,,,,而用葡萄糖酶规则不受影响。。。。。(2)静脉滴注本品可泛起血钠测定值增高。。。。。(3)本品可使血清丙氨酸氨基转移酶或门冬氨酸氨基转移酶升高。。。。。

【孕妇及哺乳期妇女用药】动物生殖试验未发明本品引起胎儿损害。。。。。但尚未在孕妇举行严酷比照试验以除外这类药物对胎儿的不良影响,,,,,以是孕妇应仅在确有须要时使用本品。。。。。少量本品从乳汁中渗透,,,,,哺乳期妇女用药时宜暂停哺乳。。。。。

【儿童用药】尚不明确。。。。。

【晚年用药】尚不明确。。。。。

【药物相互作用】1、氯霉素、红霉素、四环素类、磺胺类可滋扰本品活性,,,,,故本品不宜与这些药物适用。。。。。2、丙磺舒、阿司匹林、吲哚美辛、保泰松和磺胺药镌汰青霉素的肾小管渗透而延伸本品的血清半衰期。。。。。青霉素可增强华法林的抗凝作用。。。。。3、本品与重金属,,,,,特殊是铜、锌、汞呈配伍禁忌。。。。。4、青霉素静脉输液中加入头孢噻吩、林可霉素、四环素、万古霉素、琥乙红霉素、两性霉素B、去甲肾上腺素、间羟胺、苯妥英钠、盐酸羟嗪、丙氯拉嗪、异丙嗪、维生素B族、维生素C族等后将泛起污浊。。。。。5、本品与氨基糖苷类抗生素同瓶滴注可导致两者抗菌活性降低,,,,,因此不可置统一容器内给药。。。。。

【药物过量】药物过量的主要体现是中枢神经系统不良反映,,,,,应实时停药并予对症、支持治疗。。。。。血液透析可扫除青霉素。。。。。

【药理毒理】青霉素对溶血性链球菌等链球菌属、肺炎链球菌和不产青霉素酶的葡萄球菌具有优异抗菌作用。。。。。对肠球菌有中等度抗菌作用,,,,,淋病奈瑟菌、脑膜炎奈瑟菌、白喉棒状杆菌、炭疽芽孢杆菌、牛型放线菌、念珠状链杆菌、李斯特菌、钩端螺旋体和梅毒螺旋体对本品敏感。。。。。本品对流感嗜血杆菌和百日咳鲍特氏菌亦具一定抗菌活性,,,,,其他革兰氏阴性需氧或兼性厌氧菌对本品敏感性差。。。。。本品对梭状芽孢杆菌属、消化链球菌厌氧菌以及产玄色素拟杆菌等具优异抗菌作用,,,,,对懦弱拟杆菌的抗菌作用差。。。。。青霉素通过抑制细菌细胞壁合成而施展杀菌作用。。。。。

【药代动力学】肌内注射后0.5小时抵达血药峰浓度(Cmax),,,,,肌内注射100万单位(600mg)的峰浓度为20000单位/L(12mg/L)。。。。。新生儿按体重肌注青霉素2.5万单位/kg(15mg/kg),,,,,经0.5~1小时后,,,,,平均血药浓度约为22mg/L,,,,,12小时后即降至9.6~19.2mg/L。。。。。成人每2小时静脉注射本品200万单位或每3小时注射300万单位,,,,,平均血药浓度约为19.2mg/L。。。。。于5分钟内静脉注射500万单位(3g)青霉素,,,,,给药后5分钟和10分钟的平均血药浓度为400mg/L和273mg/L,,,,,1小时即降至45mg/L,,,,,4小时仅有3.0mg/L。。。。。本品普遍漫衍于组织、体液中。。。。。胸、腹腔和枢纽腔液中浓度约为血清浓度的50%。。。。。本品不易透入眼、骨组织、无血供区域和脓腔中,,,,,易透入有炎症的组织。。。。。青霉素可通过胎盘,,,,,除在妊娠头3个月羊水中青霉素浓度较低外,,,,,一般在胎儿和羊水中皆可获得有用治疗浓度。。。。。本品难以透过血-脑脊液屏障,,,,,在无炎症脑脊液中的浓度仅为血药浓度的1%~3%。。。。。在有炎症的脑脊液中浓度可达同期血药浓度的5%~30%。。。。。乳汁中可含有少量青霉素,,,,,其浓度为血药浓度的5%~20%。。。。。本品血浆卵白连系率为45%~65%。。。。。血消除半衰期(T1/2)约为30分钟,,,,,肾功效减退者可延伸至2.5~10小时,,,,,晚年人和新生儿也可延伸。。。。。新生儿的T1/2与体重、日龄有关,,,,,体重低于2公斤者,,,,,7日内和8~14日龄新生儿的T1/2划分为4.9和2.6小时;;;体重高于2公斤者,,,,,7日内和8~14日龄的T1/2则划分为2.6小时和2.1小时。。。。。本品约19%在肝内代谢。。。。。肾功效正常情形下,,,,,约75%的给药量于6小时内自肾脏倾轧。。。。。青霉素主要通过肾小管渗透渗透,,,,,在康健成年人经肾小球滤过渗透者仅占10%左右;;;但在新生儿,,,,,青霉素则主要经肾小球滤过渗透。。。。。亦有少量青霉素经胆道渗透,,,,,肌内注射600mg青霉素后2~4小时胆汁中浓度抵达峰值,,,,,为10~20mg/L。。。。。由于青霉素在被肠道细菌所产青霉素酶破损,,,,,粪便中不含或仅含少量青霉素。。。。。血液透析可扫除本品,,,,,而腹膜透析则不可。。。。。

【贮藏】密闭,,,,,在凉暗(避光并不凌驾20℃)干燥处生涯。。。。。

【包装】模制瓶装。。。。。50支/盒。。。。。

【有用期】24个月。。。。。

【执行标准】《中国药典》2015年版第一增补版

【批准文号】国药准字H14020377

【药品上市允许持有人】山西304am永利集团泰盛制药有限公司

【药品上市允许持有人】山西省大同市经济手艺开发区第一医药园区

【生产企业】企业名称:山西304am永利集团泰盛制药有限公司

        生产地点:山西省大同市经济手艺开发区第一医药园区

        邮政编码:037300

        电话号码:0352—7290991

        传真号码:0352—7290990