
¡¾Ò©Æ·Ãû³Æ¡¿Í¨ÓÃÃû³Æ£ºÍªÂå·Ò³¦ÈܽºÄÒ
Ó¢ÎÄÃû³Æ£ºKetoprofen Enteric-coated Capsules
ººÓïÆ´Òô£ºTongluofen Changrong Jiaonang
¡¾³É·Ý¡¿±¾Æ·Ö÷Òª³É·ÝΪͪÂå·Ò¡£¡£¡£Æä»¯Ñ§Ãû³ÆÎª£ºa-¼×»ù-3-±½¼×õ£»£»£»ù-±½ÒÒËá¡£¡£¡£
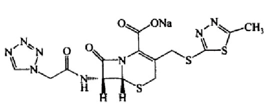
Æä»¯Ñ§½á¹¹Ê½Îª£º

·Ö×Óʽ£ºC16H14O3
·Ö×ÓÁ¿£º254.29
¡¾ÐÔ×´¡¿±¾Æ·ÄÚÈÝÎïΪ°×É«·ÛÄ©¡£¡£¡£
¡¾Ë³Ó¦Ö¢¡¿ÓÃÓÚÖÖÖÖÊàŦÑ×£ºÀà·çʪÊàŦÑס¢¹ÇÐÔÊàŦÑס¢Ç¿Ö±ÐÔ¼¹ÖùÑס¢Í´·çÐÔÊàŦÑ׵ȵÄÊàŦʹ¡¢Ö×ÒÔ¼°ÖÖÖÖÌÛÍ´£¬£¬£¬ÈçÍ´¾¡¢ÑÀÍ´¡¢ÊÖÊõºóÍ´¡¢°©ÐÔÌÛÍ´µÈ¡£¡£¡£
¡¾¹æ¸ñ¡¿50mg
¡¾Ó÷¨ÓÃÁ¿¡¿¿Ú·þ³ÉÈ˳£ÓÃÁ¿£º1¡¢¿¹·çʪ£¬£¬£¬Ò»´Î50mg£¬£¬£¬Ò»ÈÕ3¡«4´Î¡£¡£¡£×î´óÓÃÁ¿Ò»Ìì200mg£»£»£»2¡¢ÖÎÁÆÍ´¾£¬£¬£¬Ò»´Î50mg£¬£¬£¬Ã¿6¡«8Сʱ1´Î£¬£¬£¬ÐëҪʱ¿ÉÔöÖÁÿ´Î75mg¡£¡£¡£Îª×èÖ¹¶Ô賦µÀ´Ì¼¤£¬£¬£¬Ó¦·¹ºó·þÓ㬣¬£¬Õû¸ö½ºÄÒÍÌ·þ¡£¡£¡£
¡¾²»Á¼·´Ó³¡¿1¡¢Î¸³¦µÀ·´Ó³½Ï³£¼û£¬£¬£¬Èçθ²¿ÌÛÍ´»ò²»ÊÊ¡¢ÕÍÆø¡¢¶ñÐÄ¡¢ÍÂÄæ¡¢Ê³Óû¼õÍË¡¢¸¹Ðº¡¢±ãÃØµÈ£¬£¬£¬ÑÏÖØÕ߿ɷºÆðÉÏÏû»¯µÀÀ£Ññ¡¢³öѪ¼°´©¿×¡£¡£¡£2¡¢¹ýÃô·´Ó³£º¹ýÃôÐÔÆ¤Ñס¢Æ¤·ôðþÑ÷¡¢°þÍÑÐÔÆ¤Ñס¢ºíÍ·Ë®Öס¢Ö§Æø¹Ü¾·ÂÎ(¹ýÃôÐÔ)µÈ¡£¡£¡£3¡¢ÑÛ£ºÊÓÁ¦Ä£ºý¡¢ÊÓÍøÄ¤³öѪ¡£¡£¡£4¡¢ÐÄѪ¹Üϵͳ£ºÐÄÂɲ»Æë¡¢ÑªÑ¹Éý¸ß¡¢Ðļ¡£¡£¡£5¡¢ÖÐÊàÉñ¾ÏµÍ³£ºÍ·ÔΡ¢Í·Í´¡¢¶úÃù¡¢ÌýÁ¦Ï½µ¡¢¾«ÉñÖ÷Òª¡¢¾«ÉñÒÖÓô¡¢»Ã¾õ¡¢ÊÈ˯¡¢ËÄÖ«ÂéľµÈ¡£¡£¡£6¡¢¸ÎÉö£º¸ÎË𺦡¢Éö¹¦Ð§Ï½µ¡¢¼äÖÊÐÔÉöÑס¢Éö²¡¡£¡£¡£7¡¢ÑªÒºÏµÍ³£º±Çô¬¡¢Á£Ï¸°ûïÔÌ¡¢ÑªÐ¡°åïÔÌ¡¢ÈÜѪÐÔѪÐéµÈ¡£¡£¡£8¡¢ÆäËü£ºË®äóÁô(ÌåÖØÔöÌíËÙ¡¢ÄòÁ¿ïÔÌ¡¢Ã沿ˮÖ×µÈ)¡¢¿ÚÇ»Ñס¢¶àº¹µÈ¡£¡£¡£
¡¾½û¼É¡¿1¡¢¶Ô°¢Ë¾Æ¥ÁÖ»òÆäËû·ÇçÞÌ忹Ñ×Ò©ÓйýÃôÕߣ»£»£»2¡¢ÓлÐÔÏû»¯ÐÔÀ£ÑñÕß¡£¡£¡£
¡¾×¢ÖØÊÂÏî¡¿1¡¢½»Ö¯¹ýÃô£º¶Ô°¢Ë¾Æ¥ÁÖ»òÆäËû·ÇçÞÌ忹Ñ×Ò©¹ýÃôÕߣ¬£¬£¬±¾Æ·¿ÉÓн»Ö¯¹ýÃô·´Ó³¡£¡£¡£¶Ô°¢Ë¾Æ¥ÁÖ¹ýÃôµÄÏø´»¼Õߣ¬£¬£¬±¾Æ·Ò²¿ÉÒýÆðÖ§Æø¹Ü¾·ÂΡ£¡£¡£2¡¢ÓÐÏÂÁÐÇéÐÎÕßÓ¦É÷Ó㺢ÙÏø´£¬£¬£¬ÓÃÒ©ºó¿É¼ÓÖØ£»£»£»¢ÚÐĹ¦Ð§²»È«¡¢¸ßѪѹ¡¢Éö¹¦Ð§²»È«¡¢¸ÎÓ²»¯»¼Õߣ¬£¬£¬ÓÃÒ©ºó¿É¼ÓÖØË®ÄÆäóÁô£¬£¬£¬ÉõÖÁµ¼ÖÂÐÄ¡¢¸Î¡¢Éö¹¦Ð§Ë¥½ß¡£¡£¡£¢ÛѪÓѲ¡»òÆäËû³öѪÐÔ¼²²¡(°üÀ¨ÄýѪÕϰ¼°ÑªÐ¡°å¹¦Ð§Òì³£)£¬£¬£¬ÓÃÒ©ºó³öѪʱ¼äÑÓÉ죬£¬£¬³öѪÇãÏò¼ÓÖØ£»£»£»¢ÜÓÐÏû»¯µÀÀ£Ññ²¡Ê·Õߣ¬£¬£¬Ó¦Óñ¾Æ·Ê±Ò×·ºÆð賦µÀ¸±×÷Ó㬣¬£¬°üÀ¨±¬·¢ÐµÄÀ£Ññ£»£»£»3¡¢±¾Æ·ÎªÖÎÁÆÊàŦÑ׵ĶÔÖ¢Ò©Î£¬£¬ÓÃÒ©ÊýÌìÖÁ1ÖÜÊÕЧ£¬£¬£¬´ï×î´óÁÆÐ§ÐèÁ¬ÐøÓÃÒ©2¡«3ÖÜ¡£¡£¡£±ØÐèͬʱ¾ÙÐв¡ÒòÖÎÁÆ¡£¡£¡£4¡¢Éö¹¦Ð§²»È«ÕßÓ¦×ÃÇé¼õÁ¿¡£¡£¡£5¡¢ÎªÁËïÔ̶Ô賦µÀ´Ì¼¤£¬£¬£¬¿ÉÓëʳÎïͬ·þ»ò·¹ºó·þÓᣡ£¡£¶Ô¼±Ðèֹʹ»¼Õߣ¬£¬£¬¿ÉÓÚ½øÊ³Ç°30·ÖÖÓ»ò½øÊ³ºó2Сʱ·þÒ©¡£¡£¡£6¡¢ºã¾ÃÓÃҩʱӦ°´ÆÚËæÕ£¬£¬¼ì²éѪÏ󼰸Ρ¢Éö¹¦Ð§¡£¡£¡£Ò»µ©·ºÆð賦µÀ³öѪ¡¢¸ÎÉö¹¦Ð§Ë𺦡¢ÊÓÁ¦Õϰ¡¢¾«ÉñÒì³£¡¢ÑªÏóÒì³£¼°¹ýÃô·´Ó³µÈÒì³£ÇéÐΣ¬£¬£¬Ó¦Á¬Ã¦Í£Ò©¡¢¾ÍÕï¡£¡£¡£7¡¢¶ÔʵÑéÊÒ¼ì²éµÄ×ÌÈÅ£º¢ÙÓÉÓÚ±¾Æ·¶ÔѪС°åȺ¼¯ÓÐÒÖÖÆ×÷Ó㬣¬£¬¿Éʹ³öѪʱ¼äÑÓÉì3¡«4Ã룻£»£»¢Ú±¾Æ·¿ÉÊ¹ÑªÄÆÅ¨¶È½µµÍ£¬£¬£¬ÑªºìÂѰ׼°ºìϸ°ûѹ»ý½µµÍ£»£»£»¢Û±¾Æ·¿ÉÖÂѪÇå¼îÐÔÁ×Ëáø¡¢ÈéËáÍÑÇâø¼°×ª°±Ã¸Éý¸ß£»£»£»¢ÜÓÉÓÚ±¾Æ·ÔÚÄòÖдúл²úÆ·µÄ×ÌÈÅ£¬£¬£¬¿ÉÓ°ÏìÄò17Ò»ôÇÆ¤ÖÊÀà¹Ì´¼(17-OHCS)µÄ²â¶¨Ð§¹û¡£¡£¡£
¡¾Ôи¾¼°²¸ÈéÆÚ¸¾Å®ÓÃÒ©¡¿Ôи¾¼°²¸ÈéÆÚ¸¾Å®²»ÒËÓ¦Óᣡ£¡£
¡¾¶ùͯÓÃÒ©¡¿Éв»Ã÷È·¡£¡£¡£
¡¾ÍíÄêÓÃÒ©¡¿ÍíÄêÈËÓ¦Óñ¾Æ·Ê±Ñª½¬ÂѰ×Á¬ÏµÂʼ°Ò©ÎïÇãÔþËÙÂʿɼõµÍ£¬£¬£¬µ¼ÖÂѪҩŨ¶ÈÉý¸ß¼°°ëË¥ÆÚÑÓÉ죬£¬£¬Òò¶øÐè×¢ÖØ¼ÁÁ¿µ÷½â¡£¡£¡£ÓÈÆä´óÓÚ70ËêÕߣ¬£¬£¬×îÏÈ¿ÉÓðëÁ¿£¬£¬£¬ÈçÎÞЧÇÒÄÍÊܺ㬣¬£¬¿ÉÖð½¥ÔöÌíÖÁ³£ÓÃÁ¿£¬£¬£¬µ«Ó¦Ç×½ü¼à»¤¡£¡£¡£
¡¾Ò©ÎïÏ໥×÷Óá¿1¡¢Òû¾Æ»òÓëÆäËû·ÇçÞÌ忹Ñ×ҩͬÓÃʱÔöÌí賦µÀ²»Á¼·´Ó³¼°³öѪÇãÏò¡£¡£¡£ºã¾ÃÓë¶ÔÒÒõ£°±»ù·ÓͬÓÃʱ¿ÉÔöÌí¶ÔÉöÔàµÄ¶¾¸±×÷Óᣡ£¡£2¡¢Óë¸ÎËØ¡¢Ë«Ïã¶¹ËØµÈ¿¹ÄýÒ©¼°ÑªÐ¡°åȺ¼¯ÒÖÖÆÒ©Í¬ÓÃʱÓÐÔöÌí³öѪµÄΣÏÕ¡£¡£¡£3¡¢Óëß»ÈûÃ×ͬÓÃʱ£¬£¬£¬ºóÕßµÄÅÅÄÆºÍ½µÑ¹×÷ÓÃÏ÷Èõ¡£¡£¡£4¡¢ÓëάÀÅÁÃס¢Ïõ±½µØÆ½Í¬ÓÃʱ£¬£¬£¬±¾Æ·µÄѪҩŨ¶ÈÔö¸ß¡£¡£¡£5¡¢±¾Æ·¿ÉÔö¸ßµØ¸ßÐÁµÄѪŨ¶È£¬£¬£¬Í¬ÓÃʱÐë×¢ÖØµ÷½âµØ¸ßÐÁµÄ¼ÁÁ¿¡£¡£¡£6¡¢±¾Æ·¿ÉÔöÇ¿¿Ú·þ¿¹ÌÇÄò²¡Ò©µÄ×÷Óᣡ£¡£7¡¢±¾Æ·Ó뿹¸ßѪѹҩͬÓÃʱ¿ÉÓ°ÏìºóÕߵĽµÑ¹Ð§¹û¡£¡£¡£8¡¢±¾Æ·²»Ó¦Óë±û»ÇÊæÍ¬Ó㬣¬£¬ÒòºóÕß¿ÉÏÔ׎µµÍ±¾Æ·ÉöÔàɨ³ýÂÊ(½µµÍ66%)ºÍÂѰ×Á¬ÏµÂÊ(½µµÍ28%)£¬£¬£¬µ¼ÖÂѪҩŨ¶ÈÔö¸ß£¬£¬£¬¶øÓÐÒýÆðÖж¾µÄΣÏÕ¡£¡£¡£9¡¢±¾Æ·¿É½µµÍ¼×°±µûßʵÄÉøÍ¸£¬£¬£¬Ôö¸ßÆäѪŨ¶È£¬£¬£¬ÉõÖÁ¿É´ïÖж¾Ë®Æ½£¬£¬£¬¹Ê±¾Æ·²»Ó¦ÓëÖлò´ó¼ÁÁ¿¼×°±µûßÊͬÓᣡ£¡£
¡¾Ò©Îï¹ýÁ¿¡¿·þÓÃͨÀý¼ÁÁ¿µÄ5¡«10±¶¿Éµ¼ÖÂÊÈ˯¡¢¶ñÐÄ¡¢ÍÂÄæºÍÉϸ¹²¿ÌÛÍ´¡£¡£¡£´ó¼ÁÁ¿µÄͪÂå·Ò¿ÉÒýÆðºôÎüÒÖÖÆºÍ»èØÊ¡£¡£¡£Î¸³¦µÀ³öѪ¡¢µÍѪѹ¡¢¸ßѪѹ»ò¼±ÐÔÉö¹¦Ð§Ë¥½ßÒ²¿É±¬·¢£¬£¬£¬µ«½ÏÉÙ¼û¡£¡£¡£·þÒ©³¬Á¿Ê±Ó¦×÷½ôÆÈ´¦Àí£¬£¬£¬°üÀ¨´ßÍ»òϴθ¡¢¿Ú·þ»îÐÔ̼¡¢¿¹ËáÒ©»ò(ºÍ)ÀûÄò¼Á£¬£¬£¬²¢¸øÓè¼ì²â¼°ÆäËûÖ§³ÖÖÎÁÆ¡£¡£¡£
¡¾Ò©Àí¶¾Àí¡¿±¾Æ·Îª·Ò·¼»ù±ûËáÑÜÉúÎ£¬£¬Êô·ÇçÞÌ忹Ñ×ÕòÍ´Ò©¡£¡£¡£±¾Æ·³ýÒÖÖÆ»·ÑõºÏøÍâÉÐÓÐÒ»¶¨ÒÖÖÆÖ¬Ñõø¼°ïÔÌ»º¼¤ëĵÄ×÷Ó㬣¬£¬´Ó¶ø¼õÇáÑ×Ö¢ËðÉ˲¿Î»ÌÛÍ´¸ÐÊÜ¡£¡£¡£Òò»º¼¤ëÄÓëǰÏßÏÙËØÒ»Æð¿ÉÒýÆðÌÛÍ´¡£¡£¡£»£»£»º¼¤ëÄ»¹¿ÉÒýÆð×Ó¹¬Ëõ¶Ì£¬£¬£¬¹Ê±¾Æ·ÓÃÓÚÍ´¾£¬£¬£¬Ö÷ÒªÊÇͨ¹ýÒÖÖÆ»º¼¤ëÄ£¬£¬£¬´Ó¶øÒÖÖÆ×Ó¹¬Ëõ¶ÌºÍÕòÍ´¶øÆðµ½ÁÆÐ§¡£¡£¡£±¾Æ·ÉÐÓÐÒ»¶¨µÄÖÐÊàÐÔÕòÍ´×÷Óᣡ£¡£
¼±ÐÔ¶¾ÐÔÊÔÑéЧ¹û£º´óÊó¾¿ÚLD50Ϊ101mg/kg¡£¡£¡£
¡¾Ò©´ú¶¯Á¦Ñ§¡¿¿Ú·þÒ×ÎüÊÕ¡£¡£¡£ÓëʳÎï¡¢ÄÌÀàͬ·þʱÎüÊÕ¼õÂý£¬£¬£¬µ«ÎüÊÕÈÔ½ÏÍêÈ«¡£¡£¡£Ò»´Î¸øÒ©ºóÔ¼0£®5¡«2СʱѪҩŨ¶È´ï·åÖµ¡£¡£¡£Ñª½¬ÂѰ×Á¬ÏµÂÊΪ99%(ÍíÄêÈ˿ɽϵÍ)¡£¡£¡£T1/2Ϊ1.6¡«4Сʱ(ƽ¾ù3Сʱ)£¬£¬£¬60%ÓÚ24СʱÄÚ×ÔÄòÖÐÇãÔþ£¬£¬£¬Ö÷ÒªÒÔÆÏÌÑÌÇÈ©ËáÁ¬ÏµÎïÐÎʽÇãÔþ£¬£¬£¬ÒÔÕæÏàÎïÇãÔþ¿É´ï10%¡£¡£¡£ÍíÄêÈË¡¢¸ÎÉö¹¦Ð§²»È«Õ߯äɨ³ýÂÊϽµ22%¡«50%¡£¡£¡£
¡¾Öü²Ø¡¿Õڹ⣬£¬£¬ÃÜ·â(10-30¡æ)ÉúÑÄ¡£¡£¡£
¡¾°ü×°¡¿ÂÁ²×°¡£¡£¡£12Á£/ºÐ¡£¡£¡£
¡¾ÓÐÓÃÆÚ¡¿36¸öÔ¡£¡£¡£
¡¾Ö´Ðбê×¼¡¿¡¶ÖйúÒ©µä¡·2015Äê°æ¶þ²¿
¡¾Åú×¼Îĺš¿¹úÒ©×¼×ÖH14021389
¡¾Éú²úÆóÒµ¡¿ÆóÒµÃû³Æ£ºÉ½Î÷304amÓÀÀû¼¯ÍÅÌ©Ê¢ÖÆÒ©ÓÐÏÞ¹«Ë¾
Éú²úµØµã£ºÉ½Î÷Ê¡´óͬÊо¼ÃÊÖÒÕ¿ª·¢ÇøµÚÒ»Ò½Ò©Ô°Çø
ÓÊÕþ±àÂ룺037300
µç»°ºÅÂ룺0352¡ª7290991
´«ÕæºÅÂ룺0352¡ª7290990

¡¾Ò©Æ·Ãû³Æ¡¿Í¨ÓÃÃû³Æ£ºÍªÂå·Ò³¦ÈܽºÄÒ
Ó¢ÎÄÃû³Æ£ºKetoprofen Enteric-coated Capsules
ººÓïÆ´Òô£ºTongluofen Changrong Jiaonang
¡¾³É·Ý¡¿±¾Æ·Ö÷Òª³É·ÝΪͪÂå·Ò¡£¡£¡£Æä»¯Ñ§Ãû³ÆÎª£ºa-¼×»ù-3-±½¼×õ£»£»£»ù-±½ÒÒËá¡£¡£¡£
Æä»¯Ñ§½á¹¹Ê½Îª£º

·Ö×Óʽ£ºC16H14O3
·Ö×ÓÁ¿£º254.29
¡¾ÐÔ×´¡¿±¾Æ·ÄÚÈÝÎïΪ°×É«·ÛÄ©¡£¡£¡£
¡¾Ë³Ó¦Ö¢¡¿ÓÃÓÚÖÖÖÖÊàŦÑ×£ºÀà·çʪÊàŦÑס¢¹ÇÐÔÊàŦÑס¢Ç¿Ö±ÐÔ¼¹ÖùÑס¢Í´·çÐÔÊàŦÑ׵ȵÄÊàŦʹ¡¢Ö×ÒÔ¼°ÖÖÖÖÌÛÍ´£¬£¬£¬ÈçÍ´¾¡¢ÑÀÍ´¡¢ÊÖÊõºóÍ´¡¢°©ÐÔÌÛÍ´µÈ¡£¡£¡£
¡¾¹æ¸ñ¡¿50mg
¡¾Ó÷¨ÓÃÁ¿¡¿¿Ú·þ³ÉÈ˳£ÓÃÁ¿£º1¡¢¿¹·çʪ£¬£¬£¬Ò»´Î50mg£¬£¬£¬Ò»ÈÕ3¡«4´Î¡£¡£¡£×î´óÓÃÁ¿Ò»Ìì200mg£»£»£»2¡¢ÖÎÁÆÍ´¾£¬£¬£¬Ò»´Î50mg£¬£¬£¬Ã¿6¡«8Сʱ1´Î£¬£¬£¬ÐëҪʱ¿ÉÔöÖÁÿ´Î75mg¡£¡£¡£Îª×èÖ¹¶Ô賦µÀ´Ì¼¤£¬£¬£¬Ó¦·¹ºó·þÓ㬣¬£¬Õû¸ö½ºÄÒÍÌ·þ¡£¡£¡£
¡¾²»Á¼·´Ó³¡¿1¡¢Î¸³¦µÀ·´Ó³½Ï³£¼û£¬£¬£¬Èçθ²¿ÌÛÍ´»ò²»ÊÊ¡¢ÕÍÆø¡¢¶ñÐÄ¡¢ÍÂÄæ¡¢Ê³Óû¼õÍË¡¢¸¹Ðº¡¢±ãÃØµÈ£¬£¬£¬ÑÏÖØÕ߿ɷºÆðÉÏÏû»¯µÀÀ£Ññ¡¢³öѪ¼°´©¿×¡£¡£¡£2¡¢¹ýÃô·´Ó³£º¹ýÃôÐÔÆ¤Ñס¢Æ¤·ôðþÑ÷¡¢°þÍÑÐÔÆ¤Ñס¢ºíÍ·Ë®Öס¢Ö§Æø¹Ü¾·ÂÎ(¹ýÃôÐÔ)µÈ¡£¡£¡£3¡¢ÑÛ£ºÊÓÁ¦Ä£ºý¡¢ÊÓÍøÄ¤³öѪ¡£¡£¡£4¡¢ÐÄѪ¹Üϵͳ£ºÐÄÂɲ»Æë¡¢ÑªÑ¹Éý¸ß¡¢Ðļ¡£¡£¡£5¡¢ÖÐÊàÉñ¾ÏµÍ³£ºÍ·ÔΡ¢Í·Í´¡¢¶úÃù¡¢ÌýÁ¦Ï½µ¡¢¾«ÉñÖ÷Òª¡¢¾«ÉñÒÖÓô¡¢»Ã¾õ¡¢ÊÈ˯¡¢ËÄÖ«ÂéľµÈ¡£¡£¡£6¡¢¸ÎÉö£º¸ÎË𺦡¢Éö¹¦Ð§Ï½µ¡¢¼äÖÊÐÔÉöÑס¢Éö²¡¡£¡£¡£7¡¢ÑªÒºÏµÍ³£º±Çô¬¡¢Á£Ï¸°ûïÔÌ¡¢ÑªÐ¡°åïÔÌ¡¢ÈÜѪÐÔѪÐéµÈ¡£¡£¡£8¡¢ÆäËü£ºË®äóÁô(ÌåÖØÔöÌíËÙ¡¢ÄòÁ¿ïÔÌ¡¢Ã沿ˮÖ×µÈ)¡¢¿ÚÇ»Ñס¢¶àº¹µÈ¡£¡£¡£
¡¾½û¼É¡¿1¡¢¶Ô°¢Ë¾Æ¥ÁÖ»òÆäËû·ÇçÞÌ忹Ñ×Ò©ÓйýÃôÕߣ»£»£»2¡¢ÓлÐÔÏû»¯ÐÔÀ£ÑñÕß¡£¡£¡£
¡¾×¢ÖØÊÂÏî¡¿1¡¢½»Ö¯¹ýÃô£º¶Ô°¢Ë¾Æ¥ÁÖ»òÆäËû·ÇçÞÌ忹Ñ×Ò©¹ýÃôÕߣ¬£¬£¬±¾Æ·¿ÉÓн»Ö¯¹ýÃô·´Ó³¡£¡£¡£¶Ô°¢Ë¾Æ¥ÁÖ¹ýÃôµÄÏø´»¼Õߣ¬£¬£¬±¾Æ·Ò²¿ÉÒýÆðÖ§Æø¹Ü¾·ÂΡ£¡£¡£2¡¢ÓÐÏÂÁÐÇéÐÎÕßÓ¦É÷Ó㺢ÙÏø´£¬£¬£¬ÓÃÒ©ºó¿É¼ÓÖØ£»£»£»¢ÚÐĹ¦Ð§²»È«¡¢¸ßѪѹ¡¢Éö¹¦Ð§²»È«¡¢¸ÎÓ²»¯»¼Õߣ¬£¬£¬ÓÃÒ©ºó¿É¼ÓÖØË®ÄÆäóÁô£¬£¬£¬ÉõÖÁµ¼ÖÂÐÄ¡¢¸Î¡¢Éö¹¦Ð§Ë¥½ß¡£¡£¡£¢ÛѪÓѲ¡»òÆäËû³öѪÐÔ¼²²¡(°üÀ¨ÄýѪÕϰ¼°ÑªÐ¡°å¹¦Ð§Òì³£)£¬£¬£¬ÓÃÒ©ºó³öѪʱ¼äÑÓÉ죬£¬£¬³öѪÇãÏò¼ÓÖØ£»£»£»¢ÜÓÐÏû»¯µÀÀ£Ññ²¡Ê·Õߣ¬£¬£¬Ó¦Óñ¾Æ·Ê±Ò×·ºÆð賦µÀ¸±×÷Ó㬣¬£¬°üÀ¨±¬·¢ÐµÄÀ£Ññ£»£»£»3¡¢±¾Æ·ÎªÖÎÁÆÊàŦÑ׵ĶÔÖ¢Ò©Î£¬£¬ÓÃÒ©ÊýÌìÖÁ1ÖÜÊÕЧ£¬£¬£¬´ï×î´óÁÆÐ§ÐèÁ¬ÐøÓÃÒ©2¡«3ÖÜ¡£¡£¡£±ØÐèͬʱ¾ÙÐв¡ÒòÖÎÁÆ¡£¡£¡£4¡¢Éö¹¦Ð§²»È«ÕßÓ¦×ÃÇé¼õÁ¿¡£¡£¡£5¡¢ÎªÁËïÔ̶Ô賦µÀ´Ì¼¤£¬£¬£¬¿ÉÓëʳÎïͬ·þ»ò·¹ºó·þÓᣡ£¡£¶Ô¼±Ðèֹʹ»¼Õߣ¬£¬£¬¿ÉÓÚ½øÊ³Ç°30·ÖÖÓ»ò½øÊ³ºó2Сʱ·þÒ©¡£¡£¡£6¡¢ºã¾ÃÓÃҩʱӦ°´ÆÚËæÕ£¬£¬¼ì²éѪÏ󼰸Ρ¢Éö¹¦Ð§¡£¡£¡£Ò»µ©·ºÆð賦µÀ³öѪ¡¢¸ÎÉö¹¦Ð§Ë𺦡¢ÊÓÁ¦Õϰ¡¢¾«ÉñÒì³£¡¢ÑªÏóÒì³£¼°¹ýÃô·´Ó³µÈÒì³£ÇéÐΣ¬£¬£¬Ó¦Á¬Ã¦Í£Ò©¡¢¾ÍÕï¡£¡£¡£7¡¢¶ÔʵÑéÊÒ¼ì²éµÄ×ÌÈÅ£º¢ÙÓÉÓÚ±¾Æ·¶ÔѪС°åȺ¼¯ÓÐÒÖÖÆ×÷Ó㬣¬£¬¿Éʹ³öѪʱ¼äÑÓÉì3¡«4Ã룻£»£»¢Ú±¾Æ·¿ÉÊ¹ÑªÄÆÅ¨¶È½µµÍ£¬£¬£¬ÑªºìÂѰ׼°ºìϸ°ûѹ»ý½µµÍ£»£»£»¢Û±¾Æ·¿ÉÖÂѪÇå¼îÐÔÁ×Ëáø¡¢ÈéËáÍÑÇâø¼°×ª°±Ã¸Éý¸ß£»£»£»¢ÜÓÉÓÚ±¾Æ·ÔÚÄòÖдúл²úÆ·µÄ×ÌÈÅ£¬£¬£¬¿ÉÓ°ÏìÄò17Ò»ôÇÆ¤ÖÊÀà¹Ì´¼(17-OHCS)µÄ²â¶¨Ð§¹û¡£¡£¡£
¡¾Ôи¾¼°²¸ÈéÆÚ¸¾Å®ÓÃÒ©¡¿Ôи¾¼°²¸ÈéÆÚ¸¾Å®²»ÒËÓ¦Óᣡ£¡£
¡¾¶ùͯÓÃÒ©¡¿Éв»Ã÷È·¡£¡£¡£
¡¾ÍíÄêÓÃÒ©¡¿ÍíÄêÈËÓ¦Óñ¾Æ·Ê±Ñª½¬ÂѰ×Á¬ÏµÂʼ°Ò©ÎïÇãÔþËÙÂʿɼõµÍ£¬£¬£¬µ¼ÖÂѪҩŨ¶ÈÉý¸ß¼°°ëË¥ÆÚÑÓÉ죬£¬£¬Òò¶øÐè×¢ÖØ¼ÁÁ¿µ÷½â¡£¡£¡£ÓÈÆä´óÓÚ70ËêÕߣ¬£¬£¬×îÏÈ¿ÉÓðëÁ¿£¬£¬£¬ÈçÎÞЧÇÒÄÍÊܺ㬣¬£¬¿ÉÖð½¥ÔöÌíÖÁ³£ÓÃÁ¿£¬£¬£¬µ«Ó¦Ç×½ü¼à»¤¡£¡£¡£
¡¾Ò©ÎïÏ໥×÷Óá¿1¡¢Òû¾Æ»òÓëÆäËû·ÇçÞÌ忹Ñ×ҩͬÓÃʱÔöÌí賦µÀ²»Á¼·´Ó³¼°³öѪÇãÏò¡£¡£¡£ºã¾ÃÓë¶ÔÒÒõ£°±»ù·ÓͬÓÃʱ¿ÉÔöÌí¶ÔÉöÔàµÄ¶¾¸±×÷Óᣡ£¡£2¡¢Óë¸ÎËØ¡¢Ë«Ïã¶¹ËØµÈ¿¹ÄýÒ©¼°ÑªÐ¡°åȺ¼¯ÒÖÖÆÒ©Í¬ÓÃʱÓÐÔöÌí³öѪµÄΣÏÕ¡£¡£¡£3¡¢Óëß»ÈûÃ×ͬÓÃʱ£¬£¬£¬ºóÕßµÄÅÅÄÆºÍ½µÑ¹×÷ÓÃÏ÷Èõ¡£¡£¡£4¡¢ÓëάÀÅÁÃס¢Ïõ±½µØÆ½Í¬ÓÃʱ£¬£¬£¬±¾Æ·µÄѪҩŨ¶ÈÔö¸ß¡£¡£¡£5¡¢±¾Æ·¿ÉÔö¸ßµØ¸ßÐÁµÄѪŨ¶È£¬£¬£¬Í¬ÓÃʱÐë×¢ÖØµ÷½âµØ¸ßÐÁµÄ¼ÁÁ¿¡£¡£¡£6¡¢±¾Æ·¿ÉÔöÇ¿¿Ú·þ¿¹ÌÇÄò²¡Ò©µÄ×÷Óᣡ£¡£7¡¢±¾Æ·Ó뿹¸ßѪѹҩͬÓÃʱ¿ÉÓ°ÏìºóÕߵĽµÑ¹Ð§¹û¡£¡£¡£8¡¢±¾Æ·²»Ó¦Óë±û»ÇÊæÍ¬Ó㬣¬£¬ÒòºóÕß¿ÉÏÔ׎µµÍ±¾Æ·ÉöÔàɨ³ýÂÊ(½µµÍ66%)ºÍÂѰ×Á¬ÏµÂÊ(½µµÍ28%)£¬£¬£¬µ¼ÖÂѪҩŨ¶ÈÔö¸ß£¬£¬£¬¶øÓÐÒýÆðÖж¾µÄΣÏÕ¡£¡£¡£9¡¢±¾Æ·¿É½µµÍ¼×°±µûßʵÄÉøÍ¸£¬£¬£¬Ôö¸ßÆäѪŨ¶È£¬£¬£¬ÉõÖÁ¿É´ïÖж¾Ë®Æ½£¬£¬£¬¹Ê±¾Æ·²»Ó¦ÓëÖлò´ó¼ÁÁ¿¼×°±µûßÊͬÓᣡ£¡£
¡¾Ò©Îï¹ýÁ¿¡¿·þÓÃͨÀý¼ÁÁ¿µÄ5¡«10±¶¿Éµ¼ÖÂÊÈ˯¡¢¶ñÐÄ¡¢ÍÂÄæºÍÉϸ¹²¿ÌÛÍ´¡£¡£¡£´ó¼ÁÁ¿µÄͪÂå·Ò¿ÉÒýÆðºôÎüÒÖÖÆºÍ»èØÊ¡£¡£¡£Î¸³¦µÀ³öѪ¡¢µÍѪѹ¡¢¸ßѪѹ»ò¼±ÐÔÉö¹¦Ð§Ë¥½ßÒ²¿É±¬·¢£¬£¬£¬µ«½ÏÉÙ¼û¡£¡£¡£·þÒ©³¬Á¿Ê±Ó¦×÷½ôÆÈ´¦Àí£¬£¬£¬°üÀ¨´ßÍ»òϴθ¡¢¿Ú·þ»îÐÔ̼¡¢¿¹ËáÒ©»ò(ºÍ)ÀûÄò¼Á£¬£¬£¬²¢¸øÓè¼ì²â¼°ÆäËûÖ§³ÖÖÎÁÆ¡£¡£¡£
¡¾Ò©Àí¶¾Àí¡¿±¾Æ·Îª·Ò·¼»ù±ûËáÑÜÉúÎ£¬£¬Êô·ÇçÞÌ忹Ñ×ÕòÍ´Ò©¡£¡£¡£±¾Æ·³ýÒÖÖÆ»·ÑõºÏøÍâÉÐÓÐÒ»¶¨ÒÖÖÆÖ¬Ñõø¼°ïÔÌ»º¼¤ëĵÄ×÷Ó㬣¬£¬´Ó¶ø¼õÇáÑ×Ö¢ËðÉ˲¿Î»ÌÛÍ´¸ÐÊÜ¡£¡£¡£Òò»º¼¤ëÄÓëǰÏßÏÙËØÒ»Æð¿ÉÒýÆðÌÛÍ´¡£¡£¡£»£»£»º¼¤ëÄ»¹¿ÉÒýÆð×Ó¹¬Ëõ¶Ì£¬£¬£¬¹Ê±¾Æ·ÓÃÓÚÍ´¾£¬£¬£¬Ö÷ÒªÊÇͨ¹ýÒÖÖÆ»º¼¤ëÄ£¬£¬£¬´Ó¶øÒÖÖÆ×Ó¹¬Ëõ¶ÌºÍÕòÍ´¶øÆðµ½ÁÆÐ§¡£¡£¡£±¾Æ·ÉÐÓÐÒ»¶¨µÄÖÐÊàÐÔÕòÍ´×÷Óᣡ£¡£
¼±ÐÔ¶¾ÐÔÊÔÑéЧ¹û£º´óÊó¾¿ÚLD50Ϊ101mg/kg¡£¡£¡£
¡¾Ò©´ú¶¯Á¦Ñ§¡¿¿Ú·þÒ×ÎüÊÕ¡£¡£¡£ÓëʳÎï¡¢ÄÌÀàͬ·þʱÎüÊÕ¼õÂý£¬£¬£¬µ«ÎüÊÕÈÔ½ÏÍêÈ«¡£¡£¡£Ò»´Î¸øÒ©ºóÔ¼0£®5¡«2СʱѪҩŨ¶È´ï·åÖµ¡£¡£¡£Ñª½¬ÂѰ×Á¬ÏµÂÊΪ99%(ÍíÄêÈ˿ɽϵÍ)¡£¡£¡£T1/2Ϊ1.6¡«4Сʱ(ƽ¾ù3Сʱ)£¬£¬£¬60%ÓÚ24СʱÄÚ×ÔÄòÖÐÇãÔþ£¬£¬£¬Ö÷ÒªÒÔÆÏÌÑÌÇÈ©ËáÁ¬ÏµÎïÐÎʽÇãÔþ£¬£¬£¬ÒÔÕæÏàÎïÇãÔþ¿É´ï10%¡£¡£¡£ÍíÄêÈË¡¢¸ÎÉö¹¦Ð§²»È«Õ߯äɨ³ýÂÊϽµ22%¡«50%¡£¡£¡£
¡¾Öü²Ø¡¿Õڹ⣬£¬£¬ÃÜ·â(10-30¡æ)ÉúÑÄ¡£¡£¡£
¡¾°ü×°¡¿ÂÁ²×°¡£¡£¡£12Á£/ºÐ¡£¡£¡£
¡¾ÓÐÓÃÆÚ¡¿36¸öÔ¡£¡£¡£
¡¾Ö´Ðбê×¼¡¿¡¶ÖйúÒ©µä¡·2015Äê°æ¶þ²¿
¡¾Åú×¼Îĺš¿¹úÒ©×¼×ÖH14021389
¡¾Éú²úÆóÒµ¡¿ÆóÒµÃû³Æ£ºÉ½Î÷304amÓÀÀû¼¯ÍÅÌ©Ê¢ÖÆÒ©ÓÐÏÞ¹«Ë¾
Éú²úµØµã£ºÉ½Î÷Ê¡´óͬÊо¼ÃÊÖÒÕ¿ª·¢ÇøµÚÒ»Ò½Ò©Ô°Çø
ÓÊÕþ±àÂ룺037300
µç»°ºÅÂ룺0352¡ª7290991
´«ÕæºÅÂ룺0352¡ª7290990
