
¡¾Ò©Æ·Ãû³Æ¡¿Í¨ÓÃÃû³Æ£º×¢ÉäÓú˻ÆËØÁ×ËáÄÆ
Ó¢ÎÄÃû³Æ£ºRiboflavin Sodium Phosphatefor Injection
ººÓïÆ´Òô£ºZhusheyong Hehuangsu Linsuana
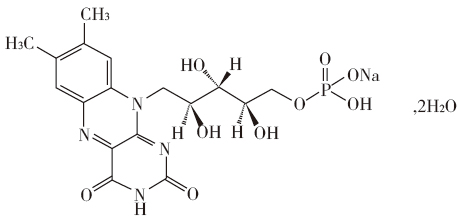
¡¾³É·Ý¡¿±¾Æ·Ö÷Òª³É·ÝΪºË»ÆËØÁ×ËáÄÆ£¬£¬£¬£¬£¬£¬Æä»¯Ñ§Ãû³ÆÎªºË»ÆËØ5 ¡¯Ò»£¨¶þÇâÁ×Ëáõ¥£©µ¥ÄÆÑζþË®ºÏÎï¡£¡£¡£¡£¡£
Æä»¯Ñ§½á¹¹Ê½£º

·Ö×Óʽ£ºC17H20N4NaO9P¡¤2H2O
·Ö×ÓÁ¿£º514.36
ËùÓи¨ÁÏÃû³ÆÎª£º¸Ê¶´¼¡£¡£¡£¡£¡£
¡¾ÐÔ×´¡¿±¾Æ·Îª»ÆÉ«»ò³È»ÆÉ«ËÉÉ¢¿é×´Îï»ò·ÛÄ©¡£¡£¡£¡£¡£
¡¾Ë³Ó¦Ö¢¡¿ºË»ÆËØÔö²¹¼Á¡£¡£¡£¡£¡£ÓÃÓÚÓɺ˻ÆËØÈ±·¦ÒýÆðµÄ¿Ú½ÇÑס¢´½Ñס¢ÉàÑס¢ÑÛ½áĤÑ×¼°ÒõÄÒÑ׵ȼ²²¡µÄÖÎÁÆ¡£¡£¡£¡£¡£
¡¾¹æ¸ñ¡¿5mg¡¾°´ºË»ÆËØ£¨C17H20N4O6)¼Æ¡¿
¡¾Ó÷¨ÓÃÁ¿¡¿Æ¤Ï¡¢¼¡ÄÚ×¢Éä»ò¾²Âö×¢Éä¡£¡£¡£¡£¡£Ò»´Î5¡«30mg£¬£¬£¬£¬£¬£¬Ò»ÈÕ1´Î¡£¡£¡£¡£¡£
¡¾²»Á¼·´Ó³¡¿1¡¢Éö¹¦Ð§Õý³£Ê±£¬£¬£¬£¬£¬£¬±¾Ò©ÏÕЩ²»±¬·¢¶¾ÐÔ¡£¡£¡£¡£¡£2¡¢±¾Æ·ÓÐÒÔϲ»Á¼·´Ó³¡£¡£¡£¡£¡£(1)Ƥ·ô¼°Æä¸½¼þ£ºÆ¤Õî¡¢ðþÑ÷¡¢¶àº¹µÈ£»£»(2)È«ÉíÐÔË𺦣º·¢ÈÈ¡¢¸ßÈÈ¡¢ÐØÃÆ¡¢º®Õ½¡¢Î·º®¡¢²Ò°×µÈ£»£»(3)θ³¦ÏµÍ³£º¶ñÐÄ¡¢ÍÂÄæ¡¢¸¹Í´µÈ£»£»(4)Éñ¾ÏµÍ³£ºÍ·ÔΡ¢Í·Í´¡¢³é´¤¡¢ÂéľµÈ£»£»(5)ÐÄѪ¹Üϵͳ£º³±ºì¡¢Ðļ¡¢×Ï礵ȣ»£»(6)ºôÎüϵͳ£ººôÎü¼±´Ù¡¢±ïÆø¡¢¿ÈËÔ¡¢ºôÎüÄÑÌâµÈ£»£»(7)ÃâÒß¹¦Ð§ÔÓÂÒ¼°Ñ¬È¾£º¹ýÃô·´Ó³¡¢¹ýÃôÑù·´Ó³¡¢¹ýÃôÐÔÐݿ˵ȣ»£»(8)ÆäËû£º¾²ÂöÑס¢×¢É䲿λÌÛÍ´¡¢¼±Ôê¡¢ÑüÍ´µÈ¡£¡£¡£¡£¡£
¡¾½û¼É¡¿¶Ô±¾Æ·¼°Ëùº¬³É·Ý¹ýÃôÕß½ûÓᣡ£¡£¡£¡£
¡¾×¢ÖØÊÂÏî¡¿´ó×ÚʹÓñ¾Ò©ºóÄòÒº³Ê»ÆÉ«(»ò»ÆÂÌÉ«£©£¬£¬£¬£¬£¬£¬Ò²¿ÉÒýÆðÀàËÆ¼××´ÏÙ¹¦Ð§¿º½øÖ¢×´¡£¡£¡£¡£¡£
¡¾Ôи¾¼°²¸ÈéÆÚ¸¾Å®ÓÃÒ©¡¿±¾Ò©¶ÔÈÑÉïµÄÓ°ÏìÉв»Ã÷È·¡£¡£¡£¡£¡£±¾Ò©¿ÉÉøÍ¸ÈëÈéÖ£¬£¬£¬£¬£¬£¬µ«²¸ÈéÊÇÇå¾²µÄ¡£¡£¡£¡£¡£
¡¾¶ùͯÓÃÒ©¡¿Éв»Ã÷È·¡£¡£¡£¡£¡£
¡¾ÍíÄêÓÃÒ©¡¿Éв»Ã÷È·¡£¡£¡£¡£¡£
¡¾Ò©ÎïÏ໥×÷Óῼ×ÑõÂÈÆÕ°·¿É½µµÍ±¾Ò©ÎüÊÕ¡£¡£¡£¡£¡£¹Ê²»ÒËÊÊÓᣡ£¡£¡£¡£
¡¾Ò©Îï¹ýÁ¿¡¿Éв»Ã÷È·¡£¡£¡£¡£¡£
¡¾Ò©Àí¶¾Àí¡¿Ò©Àí×÷Ó㺱¾Æ·ÎªÎ¬ÉúËØÀàÒ©¡£¡£¡£¡£¡£ºË»ÆËØ£¨Î¬ÉúËØB2£©ÊÇÈËÌåÖ÷ÒªÓªÑøËØ£¬£¬£¬£¬£¬£¬ÔÚÄÜÁ¿´úлÖÐÆðÒªº¦×÷Óᣡ£¡£¡£¡£±¾Ò©Îª»ÆËص¥ºËÜÕËá( FMN£©ºÍ»ÆËØÏÙàÑßʶþºËÜÕËá( FA D )ǰÌåÒ©£¬£¬£¬£¬£¬£¬¶øFMNºÍFADÊÇ»ÆËØÃ¸¼Ò×åµÄÖ÷Òª¸¨ÖúÒò×Ó¡£¡£¡£¡£¡£»£»ÆËØÃ¸´ß»¯Ðí¶àÉú»¯·´Ó³£¬£¬£¬£¬£¬£¬×îµä·¶µÄΪÑõ»¯»¹Ô·´Ó³£¬£¬£¬£¬£¬£¬ËüÃÇÊÇϸ°ûºôÎüµÄÒªº¦Òò×Ó¡£¡£¡£¡£¡£FADºÍFMNÔÚÏßÁ£Ìåת¶¯Á´ÖеÝÇ⣬£¬£¬£¬£¬£¬ÔÚ´ËÀú³ÌÖб¬·¢Ï¸°ûÄÜÁ¿¡£¡£¡£¡£¡£È±·¦Ê±¿ÉÓ°Ïì»úÌåµÄÉúÎïÑõ»¯£¬£¬£¬£¬£¬£¬Ê¹´ú뱬·¢Õϰ£¬£¬£¬£¬£¬£¬Æä²¡±ä¶àÌåÏÖΪ¿Ú¡¢ÑÛ¡¢ÍâÉúÖ³Æ÷²¿Î»µÄÑ×Ö¢¡£¡£¡£¡£¡£
¡¾Ò©´ú¶¯Á¦Ñ§¡¿ÎÞ±¾Ò©×¢Éä¸øÒ©µÄÒ©´ú¶¯Á¦Ñ§×ÊÁÏ¡£¡£¡£¡£¡£¾ÝÎÄÏ××ÊÁÏ£¬£¬£¬£¬£¬£¬ºË»ÆËؿڷþºó£¬£¬£¬£¬£¬£¬Ö÷ÒªÔÚ½ü¶ÎС³¦ÎüÊÕ£¬£¬£¬£¬£¬£¬Ê³ÎïÄÜÔö½ø¸ÃÆ·ÎüÊÕ£¬£¬£¬£¬£¬£¬µ¨ÑμÓËÙ¸ÃÆ·ÎüÊÕ¡£¡£¡£¡£¡£ÔÚ2¡«25mg¼ÁÁ¿¹æÄ£ÄÚ£¬£¬£¬£¬£¬£¬ÆäÉúÎïʹÓöÈΪ50¡«60%£¬£¬£¬£¬£¬£¬µ¥´Î¿Ú·þµÄ×î´óÎüÊÕÁ¿Îª27mg£¬£¬£¬£¬£¬£¬³¬Á¿²¿·Ö´Ó·à±ãÖÐÉøÍ¸¡£¡£¡£¡£¡£»£»ÆËص¥ºËÜÕËᣨ FMN£©ºÍ»ÆËØÏÙàÑßʶþºËÜÕËá( FA D)ÎüÊÕ½ÏÉÙ¡£¡£¡£¡£¡£±¾Ò©¾Ãž²ÂöÈë¸Î½øÈëѪҺѻ·£¬£¬£¬£¬£¬£¬ÔÙµÖ´ï×éÖ¯¡£¡£¡£¡£¡£´ó²¿·ÖѪÇåºË»ÆËر»°×ÂѰ׻òÃâÒßÇòÂѰ×תÔË£¬£¬£¬£¬£¬£¬Í¨¹ýŨ¶ÈÌݶÈÃÖÉ¢ÖÁϸ°ûÄÚ¡£¡£¡£¡£¡£ÔÚϸ°ûÄÚ£¬£¬£¬£¬£¬£¬ºË»ÆËØÍ¨¹ý»ÆËؼ¤Ã¸×ª»»ÎªFMN£¬£¬£¬£¬£¬£¬FMNÓÖͨ¹ýFADºÏ³Éøת»»³ÉΪFAD£¬£¬£¬£¬£¬£¬FADÊÇ×éÖ¯Öк˻ÆËصÄÖ÷Òª±£´æÐÎʽ¡£¡£¡£¡£¡£Áè¼ÝÉíÌåÐèÒªÁ¿µÄºË»ÆËØÖ÷Òª´ÓÉöÔàÉøÍ¸£¬£¬£¬£¬£¬£¬²¿·Ö´úл²úÆ·Ò²´ÓÉöÔàÇãÔþ¡£¡£¡£¡£¡£±¾Ò©¿Ú·þ»ò¼¡Èâ×¢ÉäµÄ°ëË¥ÆÚΪ66¡«84·ÖÖÓ¡£¡£¡£¡£¡£
¡¾Öü²Ø¡¿Õڹ⣬£¬£¬£¬£¬£¬ÃÜ·â(10-30¡æ)ÉúÑÄ¡£¡£¡£¡£¡£
¡¾°ü×°¡¿Î÷ÁÖÆ¿×°£¬£¬£¬£¬£¬£¬10Ö§/ºÐ¡£¡£¡£¡£¡£
¡¾ÓÐÓÃÆÚ¡¿24¸öÔÂ
¡¾Ö´Ðбê×¼¡¿WS1-XG-015-2020
¡¾Åú×¼Îĺš¿¹úÒ©×¼×ÖH20060747
¡¾ÉÏÊÐÔÊÐí³ÖÓÐÈË¡¿Ãû³Æ£ºÉ½Î÷304amÓÀÀû¼¯ÍÅÌ©Ê¢ÖÆÒ©ÓÐÏÞ¹«Ë¾
×¢²áµØµã£ºÉ½Î÷Ê¡´óͬÊо¼ÃÊÖÒÕ¿ª·¢ÇøµÚÒ»Ò½Ò©Ô°Çø
¡¾Éú²úÆóÒµ¡¿ÆóÒµÃû³Æ£ºÉ½Î÷304amÓÀÀû¼¯ÍÅÌ©Ê¢ÖÆÒ©ÓÐÏÞ¹«Ë¾
Éú²úµØµã£ºÉ½Î÷Ê¡´óͬÊо¼ÃÊÖÒÕ¿ª·¢ÇøµÚÒ»Ò½Ò©Ô°Çø
ÓÊÕþ±àÂ룺037300
µç»°ºÅÂ룺0352¡ª7290991
´«ÕæºÅÂ룺0352¡ª7290990

¡¾Ò©Æ·Ãû³Æ¡¿Í¨ÓÃÃû³Æ£º×¢ÉäÓú˻ÆËØÁ×ËáÄÆ
Ó¢ÎÄÃû³Æ£ºRiboflavin Sodium Phosphatefor Injection
ººÓïÆ´Òô£ºZhusheyong Hehuangsu Linsuana
¡¾³É·Ý¡¿±¾Æ·Ö÷Òª³É·ÝΪºË»ÆËØÁ×ËáÄÆ£¬£¬£¬£¬£¬£¬Æä»¯Ñ§Ãû³ÆÎªºË»ÆËØ5 ¡¯Ò»£¨¶þÇâÁ×Ëáõ¥£©µ¥ÄÆÑζþË®ºÏÎï¡£¡£¡£¡£¡£
Æä»¯Ñ§½á¹¹Ê½£º

·Ö×Óʽ£ºC17H20N4NaO9P¡¤2H2O
·Ö×ÓÁ¿£º514.36
ËùÓи¨ÁÏÃû³ÆÎª£º¸Ê¶´¼¡£¡£¡£¡£¡£
¡¾ÐÔ×´¡¿±¾Æ·Îª»ÆÉ«»ò³È»ÆÉ«ËÉÉ¢¿é×´Îï»ò·ÛÄ©¡£¡£¡£¡£¡£
¡¾Ë³Ó¦Ö¢¡¿ºË»ÆËØÔö²¹¼Á¡£¡£¡£¡£¡£ÓÃÓÚÓɺ˻ÆËØÈ±·¦ÒýÆðµÄ¿Ú½ÇÑס¢´½Ñס¢ÉàÑס¢ÑÛ½áĤÑ×¼°ÒõÄÒÑ׵ȼ²²¡µÄÖÎÁÆ¡£¡£¡£¡£¡£
¡¾¹æ¸ñ¡¿5mg¡¾°´ºË»ÆËØ£¨C17H20N4O6)¼Æ¡¿
¡¾Ó÷¨ÓÃÁ¿¡¿Æ¤Ï¡¢¼¡ÄÚ×¢Éä»ò¾²Âö×¢Éä¡£¡£¡£¡£¡£Ò»´Î5¡«30mg£¬£¬£¬£¬£¬£¬Ò»ÈÕ1´Î¡£¡£¡£¡£¡£
¡¾²»Á¼·´Ó³¡¿1¡¢Éö¹¦Ð§Õý³£Ê±£¬£¬£¬£¬£¬£¬±¾Ò©ÏÕЩ²»±¬·¢¶¾ÐÔ¡£¡£¡£¡£¡£2¡¢±¾Æ·ÓÐÒÔϲ»Á¼·´Ó³¡£¡£¡£¡£¡£(1)Ƥ·ô¼°Æä¸½¼þ£ºÆ¤Õî¡¢ðþÑ÷¡¢¶àº¹µÈ£»£»(2)È«ÉíÐÔË𺦣º·¢ÈÈ¡¢¸ßÈÈ¡¢ÐØÃÆ¡¢º®Õ½¡¢Î·º®¡¢²Ò°×µÈ£»£»(3)θ³¦ÏµÍ³£º¶ñÐÄ¡¢ÍÂÄæ¡¢¸¹Í´µÈ£»£»(4)Éñ¾ÏµÍ³£ºÍ·ÔΡ¢Í·Í´¡¢³é´¤¡¢ÂéľµÈ£»£»(5)ÐÄѪ¹Üϵͳ£º³±ºì¡¢Ðļ¡¢×Ï礵ȣ»£»(6)ºôÎüϵͳ£ººôÎü¼±´Ù¡¢±ïÆø¡¢¿ÈËÔ¡¢ºôÎüÄÑÌâµÈ£»£»(7)ÃâÒß¹¦Ð§ÔÓÂÒ¼°Ñ¬È¾£º¹ýÃô·´Ó³¡¢¹ýÃôÑù·´Ó³¡¢¹ýÃôÐÔÐݿ˵ȣ»£»(8)ÆäËû£º¾²ÂöÑס¢×¢É䲿λÌÛÍ´¡¢¼±Ôê¡¢ÑüÍ´µÈ¡£¡£¡£¡£¡£
¡¾½û¼É¡¿¶Ô±¾Æ·¼°Ëùº¬³É·Ý¹ýÃôÕß½ûÓᣡ£¡£¡£¡£
¡¾×¢ÖØÊÂÏî¡¿´ó×ÚʹÓñ¾Ò©ºóÄòÒº³Ê»ÆÉ«(»ò»ÆÂÌÉ«£©£¬£¬£¬£¬£¬£¬Ò²¿ÉÒýÆðÀàËÆ¼××´ÏÙ¹¦Ð§¿º½øÖ¢×´¡£¡£¡£¡£¡£
¡¾Ôи¾¼°²¸ÈéÆÚ¸¾Å®ÓÃÒ©¡¿±¾Ò©¶ÔÈÑÉïµÄÓ°ÏìÉв»Ã÷È·¡£¡£¡£¡£¡£±¾Ò©¿ÉÉøÍ¸ÈëÈéÖ£¬£¬£¬£¬£¬£¬µ«²¸ÈéÊÇÇå¾²µÄ¡£¡£¡£¡£¡£
¡¾¶ùͯÓÃÒ©¡¿Éв»Ã÷È·¡£¡£¡£¡£¡£
¡¾ÍíÄêÓÃÒ©¡¿Éв»Ã÷È·¡£¡£¡£¡£¡£
¡¾Ò©ÎïÏ໥×÷Óῼ×ÑõÂÈÆÕ°·¿É½µµÍ±¾Ò©ÎüÊÕ¡£¡£¡£¡£¡£¹Ê²»ÒËÊÊÓᣡ£¡£¡£¡£
¡¾Ò©Îï¹ýÁ¿¡¿Éв»Ã÷È·¡£¡£¡£¡£¡£
¡¾Ò©Àí¶¾Àí¡¿Ò©Àí×÷Ó㺱¾Æ·ÎªÎ¬ÉúËØÀàÒ©¡£¡£¡£¡£¡£ºË»ÆËØ£¨Î¬ÉúËØB2£©ÊÇÈËÌåÖ÷ÒªÓªÑøËØ£¬£¬£¬£¬£¬£¬ÔÚÄÜÁ¿´úлÖÐÆðÒªº¦×÷Óᣡ£¡£¡£¡£±¾Ò©Îª»ÆËص¥ºËÜÕËá( FMN£©ºÍ»ÆËØÏÙàÑßʶþºËÜÕËá( FA D )ǰÌåÒ©£¬£¬£¬£¬£¬£¬¶øFMNºÍFADÊÇ»ÆËØÃ¸¼Ò×åµÄÖ÷Òª¸¨ÖúÒò×Ó¡£¡£¡£¡£¡£»£»ÆËØÃ¸´ß»¯Ðí¶àÉú»¯·´Ó³£¬£¬£¬£¬£¬£¬×îµä·¶µÄΪÑõ»¯»¹Ô·´Ó³£¬£¬£¬£¬£¬£¬ËüÃÇÊÇϸ°ûºôÎüµÄÒªº¦Òò×Ó¡£¡£¡£¡£¡£FADºÍFMNÔÚÏßÁ£Ìåת¶¯Á´ÖеÝÇ⣬£¬£¬£¬£¬£¬ÔÚ´ËÀú³ÌÖб¬·¢Ï¸°ûÄÜÁ¿¡£¡£¡£¡£¡£È±·¦Ê±¿ÉÓ°Ïì»úÌåµÄÉúÎïÑõ»¯£¬£¬£¬£¬£¬£¬Ê¹´ú뱬·¢Õϰ£¬£¬£¬£¬£¬£¬Æä²¡±ä¶àÌåÏÖΪ¿Ú¡¢ÑÛ¡¢ÍâÉúÖ³Æ÷²¿Î»µÄÑ×Ö¢¡£¡£¡£¡£¡£
¡¾Ò©´ú¶¯Á¦Ñ§¡¿ÎÞ±¾Ò©×¢Éä¸øÒ©µÄÒ©´ú¶¯Á¦Ñ§×ÊÁÏ¡£¡£¡£¡£¡£¾ÝÎÄÏ××ÊÁÏ£¬£¬£¬£¬£¬£¬ºË»ÆËؿڷþºó£¬£¬£¬£¬£¬£¬Ö÷ÒªÔÚ½ü¶ÎС³¦ÎüÊÕ£¬£¬£¬£¬£¬£¬Ê³ÎïÄÜÔö½ø¸ÃÆ·ÎüÊÕ£¬£¬£¬£¬£¬£¬µ¨ÑμÓËÙ¸ÃÆ·ÎüÊÕ¡£¡£¡£¡£¡£ÔÚ2¡«25mg¼ÁÁ¿¹æÄ£ÄÚ£¬£¬£¬£¬£¬£¬ÆäÉúÎïʹÓöÈΪ50¡«60%£¬£¬£¬£¬£¬£¬µ¥´Î¿Ú·þµÄ×î´óÎüÊÕÁ¿Îª27mg£¬£¬£¬£¬£¬£¬³¬Á¿²¿·Ö´Ó·à±ãÖÐÉøÍ¸¡£¡£¡£¡£¡£»£»ÆËص¥ºËÜÕËᣨ FMN£©ºÍ»ÆËØÏÙàÑßʶþºËÜÕËá( FA D)ÎüÊÕ½ÏÉÙ¡£¡£¡£¡£¡£±¾Ò©¾Ãž²ÂöÈë¸Î½øÈëѪҺѻ·£¬£¬£¬£¬£¬£¬ÔÙµÖ´ï×éÖ¯¡£¡£¡£¡£¡£´ó²¿·ÖѪÇåºË»ÆËر»°×ÂѰ׻òÃâÒßÇòÂѰ×תÔË£¬£¬£¬£¬£¬£¬Í¨¹ýŨ¶ÈÌݶÈÃÖÉ¢ÖÁϸ°ûÄÚ¡£¡£¡£¡£¡£ÔÚϸ°ûÄÚ£¬£¬£¬£¬£¬£¬ºË»ÆËØÍ¨¹ý»ÆËؼ¤Ã¸×ª»»ÎªFMN£¬£¬£¬£¬£¬£¬FMNÓÖͨ¹ýFADºÏ³Éøת»»³ÉΪFAD£¬£¬£¬£¬£¬£¬FADÊÇ×éÖ¯Öк˻ÆËصÄÖ÷Òª±£´æÐÎʽ¡£¡£¡£¡£¡£Áè¼ÝÉíÌåÐèÒªÁ¿µÄºË»ÆËØÖ÷Òª´ÓÉöÔàÉøÍ¸£¬£¬£¬£¬£¬£¬²¿·Ö´úл²úÆ·Ò²´ÓÉöÔàÇãÔþ¡£¡£¡£¡£¡£±¾Ò©¿Ú·þ»ò¼¡Èâ×¢ÉäµÄ°ëË¥ÆÚΪ66¡«84·ÖÖÓ¡£¡£¡£¡£¡£
¡¾Öü²Ø¡¿Õڹ⣬£¬£¬£¬£¬£¬ÃÜ·â(10-30¡æ)ÉúÑÄ¡£¡£¡£¡£¡£
¡¾°ü×°¡¿Î÷ÁÖÆ¿×°£¬£¬£¬£¬£¬£¬10Ö§/ºÐ¡£¡£¡£¡£¡£
¡¾ÓÐÓÃÆÚ¡¿24¸öÔÂ
¡¾Ö´Ðбê×¼¡¿WS1-XG-015-2020
¡¾Åú×¼Îĺš¿¹úÒ©×¼×ÖH20060747
¡¾ÉÏÊÐÔÊÐí³ÖÓÐÈË¡¿Ãû³Æ£ºÉ½Î÷304amÓÀÀû¼¯ÍÅÌ©Ê¢ÖÆÒ©ÓÐÏÞ¹«Ë¾
×¢²áµØµã£ºÉ½Î÷Ê¡´óͬÊо¼ÃÊÖÒÕ¿ª·¢ÇøµÚÒ»Ò½Ò©Ô°Çø
¡¾Éú²úÆóÒµ¡¿ÆóÒµÃû³Æ£ºÉ½Î÷304amÓÀÀû¼¯ÍÅÌ©Ê¢ÖÆÒ©ÓÐÏÞ¹«Ë¾
Éú²úµØµã£ºÉ½Î÷Ê¡´óͬÊо¼ÃÊÖÒÕ¿ª·¢ÇøµÚÒ»Ò½Ò©Ô°Çø
ÓÊÕþ±àÂ룺037300
µç»°ºÅÂ룺0352¡ª7290991
´«ÕæºÅÂ룺0352¡ª7290990
