
【药品名称】通用名称:盐酸川芎嗪氯化钠注射液
英文名称:Ligustrazine Hydrochloride and Sodium Chloride lnjection
汉语拼音:Yansuan ChuanxiongqinLuhuana Zhusheye
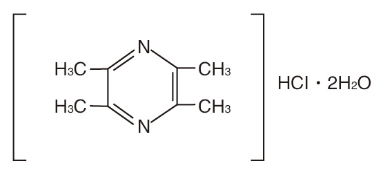
【成份】本品的主要成份为盐酸川芎嗪。。。。。。其化学名称为:2,,,3,,,5,,,6-四甲基吡嗪盐酸盐二水化合物。。。。。。
其结构式为:

分子式:C8H12N2·HCL·2H2O
分子量:208.69
【性状】本品为无色或险些无色的澄明液体。。。。。。
【顺应症】用于治疗缺血性脑血管病如脑供血缺乏,,,脑血栓形成,,,脑栓塞及其它缺血性血管疾病如冠状动脉粥样硬化性心脏病、脉管炎等。。。。。。
【规格】100ml:盐酸川芎嗪40mg与氯化钠0.9g。。。。。。
【用法用量】静脉滴注,,,一次200ml(含盐酸川芎嗪80mg),,,缓慢滴注,,,逐日一次,,,或遵医嘱。。。。。。
【不良反映】偶有口干、嗜睡等。。。。。。
【禁忌】对本品过敏者禁用,,,脑出血及有出血倾向的患者禁用。。。。。。
【注重事项】1.脑水肿患者禁用。。。。。。2.不得与碱性药物配伍静点使用。。。。。。
【孕妇及哺乳期妇女用药】孕妇禁用,,,哺乳期妇女应用本品需权衡利弊。。。。。。
【儿童用药】儿童不推荐使用。。。。。。
【晚年用药】可按通例应用,,,或遵医嘱。。。。。。
【药物相互作用】不得与碱性药物配伍静滴使用。。。。。。
【药物过量】尚缺乏此方面资料,,,如过量需对症治疗。。。。。。
【药理毒理】本品具有抗血小板群集、并对已群集的血小板有解聚作用。。。。。。别的尚有扩张小动脉,,,改善微循环和增添脑血流量,,,从而爆发抗血栓形成和溶血栓的作用。。。。。。
【药代动力学】未举行该项实验且无可靠参考文献。。。。。。
【贮藏】密闭(10~30℃),,,室温生涯。。。。。。
【包装】输液瓶装。。。。。。60瓶/箱。。。。。。
【有用期】24个月
【执行标准】WS1-(X-113)-2003Z
【批准文号】国药准字H20010273
【药品上市允许持有人】山西304am永利集团泰盛制药有限公司
【药品上市允许持有人地点】山西省大同市经济手艺开发区第一医药园区
【生产企业】企业名称:山西304am永利集团泰盛制药有限公司
生产地点:山西省大同市经济手艺开发区第一医药园区
邮政编码:037300
电话号码:0352-7290991
传真号码:0352-7290990

【药品名称】通用名称:盐酸川芎嗪氯化钠注射液
英文名称:Ligustrazine Hydrochloride and Sodium Chloride lnjection
汉语拼音:Yansuan ChuanxiongqinLuhuana Zhusheye
【成份】本品的主要成份为盐酸川芎嗪。。。。。。其化学名称为:2,,,3,,,5,,,6-四甲基吡嗪盐酸盐二水化合物。。。。。。
其结构式为:

分子式:C8H12N2·HCL·2H2O
分子量:208.69
【性状】本品为无色或险些无色的澄明液体。。。。。。
【顺应症】用于治疗缺血性脑血管病如脑供血缺乏,,,脑血栓形成,,,脑栓塞及其它缺血性血管疾病如冠状动脉粥样硬化性心脏病、脉管炎等。。。。。。
【规格】100ml:盐酸川芎嗪40mg与氯化钠0.9g。。。。。。
【用法用量】静脉滴注,,,一次200ml(含盐酸川芎嗪80mg),,,缓慢滴注,,,逐日一次,,,或遵医嘱。。。。。。
【不良反映】偶有口干、嗜睡等。。。。。。
【禁忌】对本品过敏者禁用,,,脑出血及有出血倾向的患者禁用。。。。。。
【注重事项】1.脑水肿患者禁用。。。。。。2.不得与碱性药物配伍静点使用。。。。。。
【孕妇及哺乳期妇女用药】孕妇禁用,,,哺乳期妇女应用本品需权衡利弊。。。。。。
【儿童用药】儿童不推荐使用。。。。。。
【晚年用药】可按通例应用,,,或遵医嘱。。。。。。
【药物相互作用】不得与碱性药物配伍静滴使用。。。。。。
【药物过量】尚缺乏此方面资料,,,如过量需对症治疗。。。。。。
【药理毒理】本品具有抗血小板群集、并对已群集的血小板有解聚作用。。。。。。别的尚有扩张小动脉,,,改善微循环和增添脑血流量,,,从而爆发抗血栓形成和溶血栓的作用。。。。。。
【药代动力学】未举行该项实验且无可靠参考文献。。。。。。
【贮藏】密闭(10~30℃),,,室温生涯。。。。。。
【包装】输液瓶装。。。。。。60瓶/箱。。。。。。
【有用期】24个月
【执行标准】WS1-(X-113)-2003Z
【批准文号】国药准字H20010273
【药品上市允许持有人】山西304am永利集团泰盛制药有限公司
【药品上市允许持有人地点】山西省大同市经济手艺开发区第一医药园区
【生产企业】企业名称:山西304am永利集团泰盛制药有限公司
生产地点:山西省大同市经济手艺开发区第一医药园区
邮政编码:037300
电话号码:0352-7290991
传真号码:0352-7290990
