
¡¾Ò©Æ·Ãû³Æ¡¿
ͨÓÃÃû³Æ£ºÏõËáÒìɽÀæõ¥Æ¬
Ó¢ÎÄÃû³Æ£ºIsosorbide Dinitrate Tablets
ººÓïÆ´Òô£ºXiaosuan Yishanlizhi Pian
¡¾³É·Ý¡¿±¾Æ·Ö÷Òª³É·ÝΪ£ºÏõËáÒìɽÀæõ¥¡£¡£¡£¡£Æä»¯Ñ§Ãû³ÆÎª£º1,4£º3,6-¶þÍÑË®-D-ɽÀæ´¼¶þÏõËáõ¥¡£¡£¡£¡£
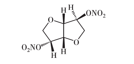
½á¹¹Ê½£º

·Ö×Óʽ£ºC6H8N2O8
·Ö×ÓÁ¿£º236.14
¡¾ÐÔ×´¡¿±¾Æ·Îª°×ɫƬ¡£¡£¡£¡£
¡¾Ë³Ó¦Ö¢¡¿¹ÚÐIJ¡µÄºã¾ÃÖÎÁÆ£»£»ÐĽÊÍ´µÄÔ¤·À£»£»Ð£ËÀºó³ÖÐøÐĽÊÍ´µÄÖÎÁÆ£»£»ÓëÑóµØ»ÆºÍ/»òÀûÄò¼ÁÁªºÏÓ¦Ó㬣¬£¬ÖÎÁÆÂýÐÔ³äѪÐÔÐÄÁ¦Ë¥½ß£»£»·Î¶¯Âö¸ßѹµÄÖÎÁÆ¡£¡£¡£¡£
¡¾¹æ¸ñ¡¿5mg¡£¡£¡£¡£
¡¾Ó÷¨ÓÃÁ¿¡¿¿Ú·þ¡£¡£¡£¡£Ô¤·ÀÐĽÊÍ´¡£¡£¡£¡£Ò»´Î1-2Ƭ£¨5-10mg£©£¬£¬£¬Ò»ÈÕ2-3´Î£¬£¬£¬Ò»ÈÕ×ÜÁ¿2-6Ƭ£¨10-30mg£©¡£¡£¡£¡£ÓÉÓÚ¸öÌå·´Ó³²î±ð£¬£¬£¬Ðè¸öÌ廯µ÷½â¼ÁÁ¿¡£¡£¡£¡£ÉàϸøÒ©£ºÒ»´Î1Ƭ£¨5mg£©£¬£¬£¬»º½âÖ¢×´¡£¡£¡£¡£
¡¾²»Á¼·´Ó³¡¿ÓÃÒ©³õÆÚ¿ÉÄ᷺ܻÆðÏõËáõ¥ÒýÆðµÄѪ¹ÜÀ©ÕÅÐÔÍ·Í´£¬£¬£¬»¹¿ÉÄÜ·ºÆðÃæ²¿³±ºì¡¢Ñ£ÔΡ¢Ö±Á¢ÐÔµÍѪѹºÍ·´ÉäÐÔÐ͝¹ýËÙ¡£¡£¡£¡£Å¼¼ûѪѹÏÔ׎µµÍ¡¢Ð͝¹ý»ººÍÐĽÊÍ´¼ÓÖØ£¬£¬£¬ÓÐÊýÐéÍѼ°ÔÎØÊ¡£¡£¡£¡£
¡¾½û¼É¡¿¼±ÐÔÑ»·Ë¥½ß£¨Ðݿˡ¢Ñ»·ÐÔÐéÍÑ£©£»£»ÑÏÖØµÍѪѹ£¨Ëõ¶Ìѹ<90mmHg£©£»£»¼±ÐÔÐ£ËÀ°éµÍ·áԣѹ£¨³ý·ÇÔÚÓгÖÐøÑªÁ÷¶¯Á¦Ñ§¼à²âµÄÌõ¼þÏ£©£»£»·Êºñ¹£×èÐÍÐ¡£¡£¡£¡£»£»ËõÕÐÔÐİüÑ×»òÐİüÌîÈû£»£»ÑÏÖØÑªÐ飻£»Çà¹âÑÛ£»£»ÂÄÚѹÔö¸ß£»£»Ô·¢ÐԷζ¯Âö¸ßѹ£»£»¶ÔÏõ»ù»¯ºÏÎï¹ýÃôÕß¡£¡£¡£¡£
¡¾×¢ÖØÊÂÏî¡¿µÍ·áԣѹµÄ¼±ÐÔÐ£ËÀ¡¢×Ô¶¯Âö»ò¶þ¼â°êÏÁÕ¡¢ÌåλÐÔµÍѪѹ¡¢ÂÄÚѹÔö¸ßÕßÉ÷Óᣡ£¡£¡£²»Ó¦Í»È»×èÖ¹ÓÃÒ©£¬£¬£¬ÒÔ×èÖ¹·´ÌøÕ÷Ï󡣡£¡£¡£
¡¾Ôи¾¼°²¸ÈéÆÚ¸¾Å®ÓÃÒ©¡¿¶¯ÎïʵÑéÖÐδÊӲ쵽¶ÔÅßÌ¥µÄ¶¾ÐÔЧӦ£¬£¬£¬µ«³ý·ÇÈ·ÓÐÐëÒª·½¿ÉÓÃÓÚÔи¾¡£¡£¡£¡£²»ÇåÎúISDNÊÇ·ñ¾ÈéÖÅÅÃÚ£¬£¬£¬¹Ê²¸ÈéÆÚ¸¾Å®Ó¦É÷Óᣡ£¡£¡£
¡¾¶ùͯÓÃÒ©¡¿¶ùͯÓÃÒ©µÄÇå¾²ÐÔ¼°Ð§¹û¾ù²»È·¶¨¡£¡£¡£¡£
¡¾ÍíÄêÓÃÒ©¡¿Éв»Ã÷È·¡£¡£¡£¡£
¡¾Ò©ÎïÏ໥×÷Óá¿ÓëÆäËûѪ¹ÜÀ©ÕżÁ¡¢¸ÆÞ׿¹¼Á¡¢¦ÂÊÜÌå×èÖͼÁ¡¢½µÑ¹Ò©¡¢Èý»·¿¹ÒÖÓôÒ©¼°¾Æ¾«ÊÊÓ㬣¬£¬¿ÉÔöÇ¿±¾ÀàÒ©ÎïµÄ½µÑªÑ¹Ð§Ó¦¡£¡£¡£¡£¿£¿£¿£¿ÉÔöÇ¿¶þÇâÂó½Ç¼îµÄÉýѹ×÷Óᣡ£¡£¡£Í¬Ê±Ê¹ÓÃÀà¹Ì´¼À࿹Ñ×Ò©¿É½µµÍ±¾Ò©µÄÁÆÐ§¡£¡£¡£¡£
¡¾Ò©Îï¹ýÁ¿¡¿ÓëѪ¹ÜÌ«¹ýÀ©ÕÅÓйصķ´Ó³ÓÐÂÄÚѹÔö¸ß¡¢Ñ£ÔΡ¢Ðļ¡¢ÊÓÁ¦Ä£ºý¡¢¶ñÐÄÓëÍÂÄæ¡¢ÔÎØÊºôÎüÄÑÌâ¡¢³öº¹°éƤ·ô³±ºì»òʪÀä¡¢´«µ¼×èÖÍÓëÐ͝¹ý»º¡¢Ì±»¾¡¢»èØÊ¡¢ñ²ðﱬ·¢»òéæÃü£¬£¬£¬ÎÞÌØÒìµÄÞ׿¹¼Á¿É·´¿¹ISDNµÄѪ¹ÜÀ©ÕÅ×÷Ó㬣¬£¬ÓÃÉöÉÏÏÙËØºÍÆäËû¶¯ÂöËõ¶Ì¼Á¿ÉÄܱ״óÓÚÀû£¬£¬£¬´¦ÀíÒªÁì°üÀ¨Ì§¸ß»¼ÕßµÄÏÂÖ«ÒÔÔö½ø¾²Âö»ØÁ÷ÒÔ¼°¾²Âö²¹Òº¡£¡£¡£¡£Ò²¿ÉÄܱ¬·¢¸ßÌúѪºìÂѰ×Ѫ֢£¬£¬£¬ÖÎÁÆÒªÁìÊǾ²×¢ÑǼ×À¶1~2mg/kg¡£¡£¡£¡£
¡¾Ò©Àí¶¾Àí¡¿1.Ò©Àíѧ£ºÏõËáÒìɽÀæõ¥£¨ISDN£©Ö÷ÒªÒ©Àí×÷ÓÃÊÇËÉиѪ¹Üƽ»¬¼¡¡£¡£¡£¡£ISDNÔÚÌåÄÚ´úлÌìÉúµ¥ÏõËáÒìɽÀæõ¥£¨ISMN£©£¬£¬£¬ºóÕßÊÍ·ÅÒ»Ñõ»¯µª£¨NO£©£¬£¬£¬NOÓëÄÚÆ¤ÊæÕÅÒò×ÓÏàͬ£¬£¬£¬¼¤»îÄñÜÕËá»·»¯Ã¸£¬£¬£¬Ê¹Æ½»¬¼¡Ï¸°ûÄڵĻ·ÄñÜÕËᣨcGMP£©Ôö¶à£¬£¬£¬´Ó¶øËÉиѪ¹Üƽ»¬¼¡£¡£¡£¡£¬£¬£¬Ê¹ÍâÖܶ¯ÂöºÍ¾²ÂöÀ©ÕÅ£¬£¬£¬¶Ô¾²ÂöµÄÀ©ÕÅ×÷ÓøüÇ¿¡£¡£¡£¡£¾²ÂöÀ©ÕÅʹѪҺäóÁôÔÚÍâÖÜ£¬£¬£¬×ªÒâѪÁ¿ïÔÌ£¬£¬£¬×óÊÒÊæÕÅĩѹºÍ·ÎëϸѪ¹ÜШǶѹ£¨Ç°¸ººÉ£©¼õµÍ¡£¡£¡£¡£¶¯ÂöÀ©ÕÅʹÍâÖÜѪ¹Ü×èÁ¦¡¢Ëõ¶ÌÆÚ¶¯ÂöѹÇå¾²¾ù¶¯Âöѹ£¨ºó¸ººÉ£©¼õµÍ¡£¡£¡£¡£¹Ú×´¶¯ÂöÀ©ÕÅ£¬£¬£¬Ê¹¹ÚÂö×¢Á¿ÔöÌí¡£¡£¡£¡£×ܵÄЧӦÊÇʹÐļ¡ºÄÑõÁ¿ïÔÌ£¬£¬£¬¹©ÑõÁ¿Ôö¶à£¬£¬£¬ÐĽÊÍ´µÃÒÔ»º½â¡£¡£¡£¡£2.¶¾Àíѧ£º¶¯ÎïʵÑéδÊӲ쵽Ö°©ºÍÖÂÍ»±äÕ÷Ï󡣡£¡£¡£
¡¾Ò©´ú¶¯Á¦Ñ§¡¿ISDN¿Ú·þÎüÊÕÍêÈ«£¬£¬£¬Æ½¾ùÉúÎïʹÓöȣ¨F£©Ô¼25%£¬£¬£¬¿Ú·þ30%£¬£¬£¬ÉàÏÂ40%~60%£¬£¬£¬¸ÎÔàÊ×¹ýЧӦÏÔ×Å¡£¡£¡£¡£ÑªÇåŨ¶È´ï·åʱ¼äÔÚ·þÒ©ºó1Сʱ£¬£¬£¬Ò»´ÎÓÃÒ©×÷ÓóÖÐø2~4Сʱ¡£¡£¡£¡£ÎüÊÕºóµÄÂþÑÜÈÝ»ýΪ2~4L/kg£¬£¬£¬É¨³ýÂÊΪ2~4L/min£¬£¬£¬°ëË¥ÆÚÔ¼1Сʱ¡£¡£¡£¡£ÍÑÏõ»ùºóÌìÉú2-µ¥ÏõËáõ¥£¨15%~25%£©ºÍ5-µ¥ÏõËáõ¥£¨75%~85%£©£¬£¬£¬Á½Õß¾ùÓÐÉúÎï»îÐÔ¡£¡£¡£¡£5-µ¥ÏõËáõ¥µÄ»îÐÔ¸üÇ¿£¬£¬£¬°ëË¥ÆÚΪ5Сʱ£¬£¬£¬ÔÚѪÇåÖÐÍÑÏõºóÐγÉÒìɽÀæ´¼£¨Ô¼Äª37%£©ºÍÓÒÐýɽÀæ´¼£¨Ô¼Äª7%£©£¬£¬£¬ÓÉÄòÖÐÇãÔþ£¬£¬£¬±ðµÄ25%ÒÔÆÏÌÇÈ©ËáÐÎʽÇãÔþ£¬£¬£¬2%ÒÔÕæÏàÇãÔþ£¬£¬£¬·à±ãÖÐÇãÔþ<1%¡£¡£¡£¡£5-µ¥ÏõËáõ¥µÄ´úл²úÆ·¾ùÎÞÀ©Ñª¹Ü×÷Óᣡ£¡£¡£
¡¾Öü²Ø¡¿ÃÜ·âÉúÑÄ¡£¡£¡£¡£
¡¾°ü×°¡¿ËÜÁÏÆ¿£¬£¬£¬100Ƭ/Æ¿¡£¡£¡£¡£
¡¾ÓÐÓÃÆÚ¡¿24¸öÔÂ
¡¾Ö´Ðбê×¼¡¿¡¶ÖйúÒ©µä¡·2020Äê°æ µÚÒ»Ôö²¹±¾
¡¾Åú×¼Îĺš¿¹úÒ©×¼×ÖH14020585
¡¾ÉÏÊÐÔÊÐí³ÖÓÐÈË¡¿
Ãû³Æ£ºÉ½Î÷304amÓÀÀû¼¯ÍŰ²ÐÀÉúÎïÖÆÒ©ÓÐÏÞ¹«Ë¾
×¢²áµØµã£ºÉ½Î÷Ê¡½úÖÐÊÐɽÎ÷Ê÷Ä£Çø½úÖпª·¢Çø»ãͨ¹¤ÒµÔ°Çø»þ³Ç·908ºÅ
¡¾Éú²úÆóÒµ¡¿
ÆóÒµÃû³Æ£ºÉ½Î÷304amÓÀÀû¼¯ÍŰ²ÐÀÉúÎïÖÆÒ©ÓÐÏÞ¹«Ë¾
Éú²úµØµã£ºÉ½Î÷Ê¡½úÖÐÊлþ³Ç·908ºÅ£¨½úÖо¼ÃÊÖÒÕ¿ª·¢ÇøÃñÓª¿Æ¼¼Ô°£©
ÓÊÕþ±àÂ룺030600
µç»°ºÅÂ룺£¨0354£©2467981
´«ÕæºÅÂ룺£¨0354£©2467981
꿅᣼www.zdjt.com

¡¾Ò©Æ·Ãû³Æ¡¿
ͨÓÃÃû³Æ£ºÏõËáÒìɽÀæõ¥Æ¬
Ó¢ÎÄÃû³Æ£ºIsosorbide Dinitrate Tablets
ººÓïÆ´Òô£ºXiaosuan Yishanlizhi Pian
¡¾³É·Ý¡¿±¾Æ·Ö÷Òª³É·ÝΪ£ºÏõËáÒìɽÀæõ¥¡£¡£¡£¡£Æä»¯Ñ§Ãû³ÆÎª£º1,4£º3,6-¶þÍÑË®-D-ɽÀæ´¼¶þÏõËáõ¥¡£¡£¡£¡£
½á¹¹Ê½£º

·Ö×Óʽ£ºC6H8N2O8
·Ö×ÓÁ¿£º236.14
¡¾ÐÔ×´¡¿±¾Æ·Îª°×ɫƬ¡£¡£¡£¡£
¡¾Ë³Ó¦Ö¢¡¿¹ÚÐIJ¡µÄºã¾ÃÖÎÁÆ£»£»ÐĽÊÍ´µÄÔ¤·À£»£»Ð£ËÀºó³ÖÐøÐĽÊÍ´µÄÖÎÁÆ£»£»ÓëÑóµØ»ÆºÍ/»òÀûÄò¼ÁÁªºÏÓ¦Ó㬣¬£¬ÖÎÁÆÂýÐÔ³äѪÐÔÐÄÁ¦Ë¥½ß£»£»·Î¶¯Âö¸ßѹµÄÖÎÁÆ¡£¡£¡£¡£
¡¾¹æ¸ñ¡¿5mg¡£¡£¡£¡£
¡¾Ó÷¨ÓÃÁ¿¡¿¿Ú·þ¡£¡£¡£¡£Ô¤·ÀÐĽÊÍ´¡£¡£¡£¡£Ò»´Î1-2Ƭ£¨5-10mg£©£¬£¬£¬Ò»ÈÕ2-3´Î£¬£¬£¬Ò»ÈÕ×ÜÁ¿2-6Ƭ£¨10-30mg£©¡£¡£¡£¡£ÓÉÓÚ¸öÌå·´Ó³²î±ð£¬£¬£¬Ðè¸öÌ廯µ÷½â¼ÁÁ¿¡£¡£¡£¡£ÉàϸøÒ©£ºÒ»´Î1Ƭ£¨5mg£©£¬£¬£¬»º½âÖ¢×´¡£¡£¡£¡£
¡¾²»Á¼·´Ó³¡¿ÓÃÒ©³õÆÚ¿ÉÄ᷺ܻÆðÏõËáõ¥ÒýÆðµÄѪ¹ÜÀ©ÕÅÐÔÍ·Í´£¬£¬£¬»¹¿ÉÄÜ·ºÆðÃæ²¿³±ºì¡¢Ñ£ÔΡ¢Ö±Á¢ÐÔµÍѪѹºÍ·´ÉäÐÔÐ͝¹ýËÙ¡£¡£¡£¡£Å¼¼ûѪѹÏÔ׎µµÍ¡¢Ð͝¹ý»ººÍÐĽÊÍ´¼ÓÖØ£¬£¬£¬ÓÐÊýÐéÍѼ°ÔÎØÊ¡£¡£¡£¡£
¡¾½û¼É¡¿¼±ÐÔÑ»·Ë¥½ß£¨Ðݿˡ¢Ñ»·ÐÔÐéÍÑ£©£»£»ÑÏÖØµÍѪѹ£¨Ëõ¶Ìѹ<90mmHg£©£»£»¼±ÐÔÐ£ËÀ°éµÍ·áԣѹ£¨³ý·ÇÔÚÓгÖÐøÑªÁ÷¶¯Á¦Ñ§¼à²âµÄÌõ¼þÏ£©£»£»·Êºñ¹£×èÐÍÐ¡£¡£¡£¡£»£»ËõÕÐÔÐİüÑ×»òÐİüÌîÈû£»£»ÑÏÖØÑªÐ飻£»Çà¹âÑÛ£»£»ÂÄÚѹÔö¸ß£»£»Ô·¢ÐԷζ¯Âö¸ßѹ£»£»¶ÔÏõ»ù»¯ºÏÎï¹ýÃôÕß¡£¡£¡£¡£
¡¾×¢ÖØÊÂÏî¡¿µÍ·áԣѹµÄ¼±ÐÔÐ£ËÀ¡¢×Ô¶¯Âö»ò¶þ¼â°êÏÁÕ¡¢ÌåλÐÔµÍѪѹ¡¢ÂÄÚѹÔö¸ßÕßÉ÷Óᣡ£¡£¡£²»Ó¦Í»È»×èÖ¹ÓÃÒ©£¬£¬£¬ÒÔ×èÖ¹·´ÌøÕ÷Ï󡣡£¡£¡£
¡¾Ôи¾¼°²¸ÈéÆÚ¸¾Å®ÓÃÒ©¡¿¶¯ÎïʵÑéÖÐδÊӲ쵽¶ÔÅßÌ¥µÄ¶¾ÐÔЧӦ£¬£¬£¬µ«³ý·ÇÈ·ÓÐÐëÒª·½¿ÉÓÃÓÚÔи¾¡£¡£¡£¡£²»ÇåÎúISDNÊÇ·ñ¾ÈéÖÅÅÃÚ£¬£¬£¬¹Ê²¸ÈéÆÚ¸¾Å®Ó¦É÷Óᣡ£¡£¡£
¡¾¶ùͯÓÃÒ©¡¿¶ùͯÓÃÒ©µÄÇå¾²ÐÔ¼°Ð§¹û¾ù²»È·¶¨¡£¡£¡£¡£
¡¾ÍíÄêÓÃÒ©¡¿Éв»Ã÷È·¡£¡£¡£¡£
¡¾Ò©ÎïÏ໥×÷Óá¿ÓëÆäËûѪ¹ÜÀ©ÕżÁ¡¢¸ÆÞ׿¹¼Á¡¢¦ÂÊÜÌå×èÖͼÁ¡¢½µÑ¹Ò©¡¢Èý»·¿¹ÒÖÓôÒ©¼°¾Æ¾«ÊÊÓ㬣¬£¬¿ÉÔöÇ¿±¾ÀàÒ©ÎïµÄ½µÑªÑ¹Ð§Ó¦¡£¡£¡£¡£¿£¿£¿£¿ÉÔöÇ¿¶þÇâÂó½Ç¼îµÄÉýѹ×÷Óᣡ£¡£¡£Í¬Ê±Ê¹ÓÃÀà¹Ì´¼À࿹Ñ×Ò©¿É½µµÍ±¾Ò©µÄÁÆÐ§¡£¡£¡£¡£
¡¾Ò©Îï¹ýÁ¿¡¿ÓëѪ¹ÜÌ«¹ýÀ©ÕÅÓйصķ´Ó³ÓÐÂÄÚѹÔö¸ß¡¢Ñ£ÔΡ¢Ðļ¡¢ÊÓÁ¦Ä£ºý¡¢¶ñÐÄÓëÍÂÄæ¡¢ÔÎØÊºôÎüÄÑÌâ¡¢³öº¹°éƤ·ô³±ºì»òʪÀä¡¢´«µ¼×èÖÍÓëÐ͝¹ý»º¡¢Ì±»¾¡¢»èØÊ¡¢ñ²ðﱬ·¢»òéæÃü£¬£¬£¬ÎÞÌØÒìµÄÞ׿¹¼Á¿É·´¿¹ISDNµÄѪ¹ÜÀ©ÕÅ×÷Ó㬣¬£¬ÓÃÉöÉÏÏÙËØºÍÆäËû¶¯ÂöËõ¶Ì¼Á¿ÉÄܱ״óÓÚÀû£¬£¬£¬´¦ÀíÒªÁì°üÀ¨Ì§¸ß»¼ÕßµÄÏÂÖ«ÒÔÔö½ø¾²Âö»ØÁ÷ÒÔ¼°¾²Âö²¹Òº¡£¡£¡£¡£Ò²¿ÉÄܱ¬·¢¸ßÌúѪºìÂѰ×Ѫ֢£¬£¬£¬ÖÎÁÆÒªÁìÊǾ²×¢ÑǼ×À¶1~2mg/kg¡£¡£¡£¡£
¡¾Ò©Àí¶¾Àí¡¿1.Ò©Àíѧ£ºÏõËáÒìɽÀæõ¥£¨ISDN£©Ö÷ÒªÒ©Àí×÷ÓÃÊÇËÉиѪ¹Üƽ»¬¼¡¡£¡£¡£¡£ISDNÔÚÌåÄÚ´úлÌìÉúµ¥ÏõËáÒìɽÀæõ¥£¨ISMN£©£¬£¬£¬ºóÕßÊÍ·ÅÒ»Ñõ»¯µª£¨NO£©£¬£¬£¬NOÓëÄÚÆ¤ÊæÕÅÒò×ÓÏàͬ£¬£¬£¬¼¤»îÄñÜÕËá»·»¯Ã¸£¬£¬£¬Ê¹Æ½»¬¼¡Ï¸°ûÄڵĻ·ÄñÜÕËᣨcGMP£©Ôö¶à£¬£¬£¬´Ó¶øËÉиѪ¹Üƽ»¬¼¡£¡£¡£¡£¬£¬£¬Ê¹ÍâÖܶ¯ÂöºÍ¾²ÂöÀ©ÕÅ£¬£¬£¬¶Ô¾²ÂöµÄÀ©ÕÅ×÷ÓøüÇ¿¡£¡£¡£¡£¾²ÂöÀ©ÕÅʹѪҺäóÁôÔÚÍâÖÜ£¬£¬£¬×ªÒâѪÁ¿ïÔÌ£¬£¬£¬×óÊÒÊæÕÅĩѹºÍ·ÎëϸѪ¹ÜШǶѹ£¨Ç°¸ººÉ£©¼õµÍ¡£¡£¡£¡£¶¯ÂöÀ©ÕÅʹÍâÖÜѪ¹Ü×èÁ¦¡¢Ëõ¶ÌÆÚ¶¯ÂöѹÇå¾²¾ù¶¯Âöѹ£¨ºó¸ººÉ£©¼õµÍ¡£¡£¡£¡£¹Ú×´¶¯ÂöÀ©ÕÅ£¬£¬£¬Ê¹¹ÚÂö×¢Á¿ÔöÌí¡£¡£¡£¡£×ܵÄЧӦÊÇʹÐļ¡ºÄÑõÁ¿ïÔÌ£¬£¬£¬¹©ÑõÁ¿Ôö¶à£¬£¬£¬ÐĽÊÍ´µÃÒÔ»º½â¡£¡£¡£¡£2.¶¾Àíѧ£º¶¯ÎïʵÑéδÊӲ쵽Ö°©ºÍÖÂÍ»±äÕ÷Ï󡣡£¡£¡£
¡¾Ò©´ú¶¯Á¦Ñ§¡¿ISDN¿Ú·þÎüÊÕÍêÈ«£¬£¬£¬Æ½¾ùÉúÎïʹÓöȣ¨F£©Ô¼25%£¬£¬£¬¿Ú·þ30%£¬£¬£¬ÉàÏÂ40%~60%£¬£¬£¬¸ÎÔàÊ×¹ýЧӦÏÔ×Å¡£¡£¡£¡£ÑªÇåŨ¶È´ï·åʱ¼äÔÚ·þÒ©ºó1Сʱ£¬£¬£¬Ò»´ÎÓÃÒ©×÷ÓóÖÐø2~4Сʱ¡£¡£¡£¡£ÎüÊÕºóµÄÂþÑÜÈÝ»ýΪ2~4L/kg£¬£¬£¬É¨³ýÂÊΪ2~4L/min£¬£¬£¬°ëË¥ÆÚÔ¼1Сʱ¡£¡£¡£¡£ÍÑÏõ»ùºóÌìÉú2-µ¥ÏõËáõ¥£¨15%~25%£©ºÍ5-µ¥ÏõËáõ¥£¨75%~85%£©£¬£¬£¬Á½Õß¾ùÓÐÉúÎï»îÐÔ¡£¡£¡£¡£5-µ¥ÏõËáõ¥µÄ»îÐÔ¸üÇ¿£¬£¬£¬°ëË¥ÆÚΪ5Сʱ£¬£¬£¬ÔÚѪÇåÖÐÍÑÏõºóÐγÉÒìɽÀæ´¼£¨Ô¼Äª37%£©ºÍÓÒÐýɽÀæ´¼£¨Ô¼Äª7%£©£¬£¬£¬ÓÉÄòÖÐÇãÔþ£¬£¬£¬±ðµÄ25%ÒÔÆÏÌÇÈ©ËáÐÎʽÇãÔþ£¬£¬£¬2%ÒÔÕæÏàÇãÔþ£¬£¬£¬·à±ãÖÐÇãÔþ<1%¡£¡£¡£¡£5-µ¥ÏõËáõ¥µÄ´úл²úÆ·¾ùÎÞÀ©Ñª¹Ü×÷Óᣡ£¡£¡£
¡¾Öü²Ø¡¿ÃÜ·âÉúÑÄ¡£¡£¡£¡£
¡¾°ü×°¡¿ËÜÁÏÆ¿£¬£¬£¬100Ƭ/Æ¿¡£¡£¡£¡£
¡¾ÓÐÓÃÆÚ¡¿24¸öÔÂ
¡¾Ö´Ðбê×¼¡¿¡¶ÖйúÒ©µä¡·2020Äê°æ µÚÒ»Ôö²¹±¾
¡¾Åú×¼Îĺš¿¹úÒ©×¼×ÖH14020585
¡¾ÉÏÊÐÔÊÐí³ÖÓÐÈË¡¿
Ãû³Æ£ºÉ½Î÷304amÓÀÀû¼¯ÍŰ²ÐÀÉúÎïÖÆÒ©ÓÐÏÞ¹«Ë¾
×¢²áµØµã£ºÉ½Î÷Ê¡½úÖÐÊÐɽÎ÷Ê÷Ä£Çø½úÖпª·¢Çø»ãͨ¹¤ÒµÔ°Çø»þ³Ç·908ºÅ
¡¾Éú²úÆóÒµ¡¿
ÆóÒµÃû³Æ£ºÉ½Î÷304amÓÀÀû¼¯ÍŰ²ÐÀÉúÎïÖÆÒ©ÓÐÏÞ¹«Ë¾
Éú²úµØµã£ºÉ½Î÷Ê¡½úÖÐÊлþ³Ç·908ºÅ£¨½úÖо¼ÃÊÖÒÕ¿ª·¢ÇøÃñÓª¿Æ¼¼Ô°£©
ÓÊÕþ±àÂ룺030600
µç»°ºÅÂ룺£¨0354£©2467981
´«ÕæºÅÂ룺£¨0354£©2467981
꿅᣼www.zdjt.com
