
¡¾Ò©Æ·Ãû³Æ¡¿Í¨ÓÃÃû³Æ£ºÑÎËáÍÐÍé˾Çí×¢ÉäÒº
ÉÌÆ·Ãû³Æ£ºÑÒµÏ
Ó¢ÎÄÃû³Æ£ºTropisetron Hydrochloride Injection
ººÓïÆ´Òô£ºYansuan Tuowansiqiong Zhusheye
¡¾³É·Ý¡¿±¾Æ·Ö÷Òª³É·ÝΪ£ºÑÎËáÍÐÍé˾Çí¡£¡£
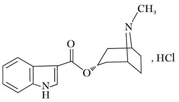
»¯Ñ§Ãû³Æ£ºßÅßá-3-¼×Ëá1¦ÁH£¬£¬£¬£¬£¬5¦ÁH-ÍÐÆ·-3¦Á-´¼õ¥ÑÎËáÑΡ£¡£
»¯Ñ§½á¹¹Ê½£º

·Ö×Óʽ£ºC17H20N2O2¡¤HCL
·Ö×ÓÁ¿£º320.81
¸¨ÁÏΪ£º×¢ÉäÓÃË®¡£¡£
¡¾ÐÔ×´¡¿±¾Æ·ÎªÎÞÉ«µÄ³ÎÃ÷ÒºÌå¡£¡£
¡¾Ë³Ó¦Ö¢¡¿Ô¤·ÀºÍÖÎÁư©Ö¢»¯ÁÆÒýÆðµÄ¶ñÐĺÍÍÂÄæ£»£»£»ÖÎÁÆÊÖÊõºóµÄ¶ñÐĺÍÍÂÄæ¡£¡£
¡¾¹æ¸ñ¡¿5ml£º5.64mg(Ï൱ÓÚÍÐÍé˾Çí5mg)
¡¾Ó÷¨ÓÃÁ¿¡¿1¡¢Ô¤·ÀºÍÖÎÁư©Ö¢»¯ÁÆÒýÆðµÄ¶ñÐĺÍÍÂÄæ£ºÔÚÈκλ¯ÁÆÖÜÆÚÖУ¬£¬£¬£¬£¬±¾Æ·×î¶à¿ÉÓ¦ÓÃ6Ìì¡£¡£(1)³ÉÈË£ºÍƼö¼ÁÁ¿Îª5mg/Ìì¡£¡£ÍƼöµÚÒ»Ìì½ÓÄɾ²Âö;¾¶¸øÒ©£¬£¬£¬£¬£¬ÒÔºó¸ÄΪ¿Ú·þ¸øÒ©ÌìÌìÒ»´Î×î¶à5Ìì¡£¡£²ÎÕÕÒÔÏÂÒªÁì¸øÒ©£ºµÚ1Ìì¾²Âö¸øÒ©£º½«±¾Æ·5mg(1°²ê³)ÈÜÓÚ100ºÁÉý³£ÓÃÊä×¢ÒºÖÐ(ÐÄÀíÑÎË®¡¢ÁÖ¸ñÊÏÒº»ò5%ÆÏÌÑÌÇÈÜÒº)ÔÚ»¯ÁÆÇ°¿ìËÙ¾²ÂöµÎ×¢(15·ÖÖÓÒÔÉÏ)£»£»£»»ò»ºÂý¾²ÂöÍÆ×¢(ËÙÂÊΪ2mg/min£¬£¬£¬£¬£¬5mg/5mlµÄ°²ê³Ô¼3·ÖÖÓ×¢ÉäÍê)£»£»£»»ò»ºÂý¼ÓÈëÒÑÓеľ²ÂöÊäÒºÖС£¡£µÚ2¡«6Ìì¿Ú·þ¸øÒ©£ºÌìÌìÒ»´Î¿Ú·þ¸øÒ©5mg£¬£¬£¬£¬£¬ÓÚÔ糿Æð´²Ê±(ÖÁÉÙÓÚÔç²Íǰ1Сʱ)ÓÃË®ËÍ·þ¡£¡£(2)¶ùͯ£ºÒ»°ã²»ÍƼöÓÃÓÚ¶ùͯ£¬£¬£¬£¬£¬È粡ÇéÐèÒª±ØÐèʹÓÃʱ£¬£¬£¬£¬£¬¿É²ÎÕÕÈçÏÂÒªÁì¸øÒ©£º2ËêÒÔÉ϶ùÍ¯ÍÆ¼ö¼ÁÁ¿0.1mg/Kg£¬£¬£¬£¬£¬×î¸ß¿É´ï5mg/Ìì¡£¡£µÚ1Ìì¾²Âö¸øÒ©£º½«±¾Æ·5mgÈÜÓÚ100ml³£ÓÃÊä×¢ÒºÖÐ(ÐÄÀíÑÎË®¡¢ÁÖ¸ñÊÏÒº»ò5%ÆÏÌÑÌÇÈÜÒº)ÓÚ»¯ÁÆÇ°¿ìËÙ¾²ÂöµÎ×¢15·ÖÖÓÒÔÉÏ»ò»ºÂý¾²ÂöÍÆ×¢»ò»ºÂý¼ÓÈëÒÑÓеľ²ÂöÊäÒºÖУ¬£¬£¬£¬£¬µÚ2~6Ìì¿É¸ÄΪ¿Ú·þ¸øÒ©£º´Ó°²ê³ÖÐÈ¡ÊÊÁ¿µÄÑÎËáÍÐÍé˾Çí×¢ÉäÒº£¬£¬£¬£¬£¬ÓýÛ×ÓÖ»ò¿ÉÀÖÏ¡Êͺ󣬣¬£¬£¬£¬ÔÚÔ糿Æð´²Ê±(ÖÁÉÙÓÚÔç²Íǰ1Сʱ)ѸËÙ·þÏ¡£¡£2¡¢ÖÎÁÆÊÖÊõºóµÄ¶ñÐÄÍÂÄæ£º³ÉÈËÍÆ¼ö¼ÁÁ¿Îª2mg£¬£¬£¬£¬£¬ÈÜÓÚÐÄÀíÑÎË®¡¢ÁÖ¸ñÊÏÒº»ò5%ÆÏÌÑÌÇÈÜÒºÄÚ¾²ÂöÊä×¢»ò»ºÂý¾²Âö×¢Éä(30ÃëÒÔÉÏ)¡£¡£ÏÖÔÚûÓжùͯÊõºóÓ¦ÓõÄÂÄÀú¡£¡£3¡¢Ë¾°Í¶¡/¶à¾ÛÒìàëÒÂý´úлÕßµÄÓ¦ÓãºÖ»¹ÜÂý´úлÕßÏû³ýÏà°ëË¥ÆÚ±ÈÕý³£´úлÕß³¤4-5±¶£¬£¬£¬£¬£¬µ«Ó¦ÓÃÍÆ¼ö¼ÁÁ¿µÄÍÐÍé˾ÇíûÓÐÒ©ÎïÒýÆð¶¾ÐÔ·´Ó³µÄ±¨µÀ¡£¡£Òò´Ë£¬£¬£¬£¬£¬ÔÚΪÆÚ6ÌìµÄÓ¦ÓÃÖУ¬£¬£¬£¬£¬Âý´úлÕßÎÞÐè¼õµÍ¼ÁÁ¿¡£¡£ÕâЩ»¼ÕßÖÐ×î³£¼ûÍ·Í´ºÍ±ãÃØµÄ±¨µÀ(¼û²»Á¼·´Ó³)¡£¡£4¡¢¸Î»òÉö¹¦Ð§²»È«»¼ÕßµÄÓ¦Ó㺸ÎÓ²»¯»òÉö¹¦Ð§²»È«»¼ÕßµÄѪ½¬Ò©ÎïŨ¶ÈÔò½ÏÕý³£´úлµÄ¿µ½¡×ÔÔ¸Õ߸ßÔ¼50%£¬£¬£¬£¬£¬µ«ÔÚ¼±ÐÔ¸ÎÑ×»òÖ¬·¾¸Î»¼ÕßÖУ¬£¬£¬£¬£¬ÑÎËáÍÐÍé˾ÇíµÄÒ©´ú¶¯Á¦Ñ§Î޸ı䡣¡£½öÔÚ¾²ÂöÓ¦ÓÃʱÐè¼õÁ¿50%¡£¡£
¡¾²»Á¼·´Ó³¡¿ÁÙ´²Ñо¿ÖÐ×î³£±¨µÀµÄ²»Á¼·´Ó³ÎªÓ¦ÓÃ2mgÒýÆðµÄÍ·Í´(22%)¼°Ó¦ÓÃ5mgÒýÆðµÄ±ãÃØ(11%)¡£¡£¿µ½¡×ÔÔ¸ÕßÖУ¬£¬£¬£¬£¬ÕâЩ²»Á¼·´Ó³ÔÚÂý´úлÕßÖбÈÕý³£´úлÕ߸üΪ³£¼û(¼û˾°Í¶¡/¶à¾ÛÒìàëÒÂý´úлÕßµÄÓ¦ÓÃ)¡£¡£ÎÞÒâÒ²ÓÐÍ·ÔΡ¢Æ£·¦¡¢Î¸³¦¹¦Ð§ÔÓÂÒÈ縹ʹºÍ¸¹ÐºµÄ±¨µÀ(0.1-5%)¡£¡£ÓëÆäËû5-HT3ÊÜÌåÞ׿¹¼ÁÏàËÆ£¬£¬£¬£¬£¬Ò²ÓÐÐéÍÑ¡¢ÔÎØÊºÍÐÄÌø×èÖ¹µÄ¸ö°¸±¨µÀ£»£»£»µ«ÕâЩÊÂÎñÓëÍÐÍé˾ÇíµÄʹÓÃûÓÐÈ·ÇеÄÒò¹û¹ØÏµ£¬£¬£¬£¬£¬ÕâЩ·´Ó³¿ÉÄÜ»áÓÉϸ°û¶¾ÐÔÒ©Îï»òÔÓеļ²²¡ÒýÆð¡£¡£ÓëÆäËû5-HT3ÊÜÌåÞ׿¹¼ÁÏàËÆ£¬£¬£¬£¬£¬Ò²ÓÐÒÔÏÂÒ»ÖÖ»ò¶àÖÖIÐÍʧ³£·´Ó³±¬·¢µÄ¸ö°¸±¨µÀ£ºÃ沿³±ºìºÍ/»òÈ«Éí·çÕî¡¢ÐØ²¿Õ¥È¡¸Ð¡¢ºôÎüÄÑÌâ¡¢¼±ÐÔÖ§Æø¹Ü¾·Âκ͵ÍѪѹ¡£¡£ÔÚÉÏÊкóÓ¦ÓÃʱ´ú£¬£¬£¬£¬£¬±¨¸æÁ˺ÜÊÇÓÐÊýµÄ¹ýÃô·´Ó³£ºÆ¤Õî¡¢ºì°ß¡¢¹ýÃôÐÔÐݿˡ£¡£ÓÉÓÚ±¬·¢ÕâЩ±¨¸æµÄ»¼ÕßÈËÊýδÃ÷È·£¬£¬£¬£¬£¬ÇÒ¿ÉÄܱ£´æ»ìÏýÒòËØ£¬£¬£¬£¬£¬Òò´Ë²»¿É׼ȷ¹ÀËãÒ©Îï²»Á¼·´Ó³±¬·¢ÂÊ»òÈ·¶¨ÓëÒ©ÎïµÄÒò¹û¹ØÏµ¡£¡£
¡¾½û¼É¡¿Ôи¾½ûÓᣡ£¶ÔÍÐÍé˾Çí¹ýÃô»òÆäËû5-HT3ÊÜÌåÞ׿¹¼Á(Èç¶÷µ¤Î÷ͪ¡¢¸ñÀ˾Çí)»òÈκÎÒ»ÖÖ¸³ÐμÁ¹ýÃôµÄ»¼Õß½ûÓᣡ£
¡¾×¢ÖØÊÂÏî¡¿1¡¢¸ßѪѹδ¿ØÖƵϼÕߣ¬£¬£¬£¬£¬ÓÃÒ©ºó¿ÉÄÜÒýÆðѪѹ½øÒ»²½Éý¸ß£¬£¬£¬£¬£¬¹Ê¸ßѪѹµÄ»¼ÕßÓ¦É÷Ó㬣¬£¬£¬£¬ÆäÓÃÁ¿²»ÒËÁè¼Ý10ºÁ¿Ë/Ìì¡£¡£2¡¢ÑÎËáÍÐÍé˾Çí³£¼ûµÄ²»Á¼·´Ó³ÊÇÍ·ÔÎºÍÆ£ÀÍ£¬£¬£¬£¬£¬»¼Õß·þÒ©ºóÔڼݳµ»òʹÓûúеÕßÓ¦É÷Óᣡ£3¡¢¸ÎÉö¹¦Ð§ÕϰÕßʹÓñ¾Æ·°ëË¥ÆÚÑÓÉ죬£¬£¬£¬£¬µ«ÕâÖÖת±äÔÚÌìÌì5mg£¬£¬£¬£¬£¬Á¬ÐøÓÃÒ©6ÌìµÄÖÎÁÆÖв»»á±¬·¢Ò©ÎïÐî»ý¡£¡£4¡¢ÓÐÐÄÂÊ»ò´«µ¼Òì³£¼²²¡µÄ»¼ÕßÒÔ¼°Í¬Ê±·þÓÿ¹ÐÄÂÊʧ³£Ò©Îï»ò¦ÂÊÜÌå×èÖͼÁµÄ»¼ÕßÓ¦É÷Óᣡ£
¡¾Ôи¾¼°²¸ÈéÆÚ¸¾Å®ÓÃÒ©¡¿Ôи¾¼°²¸ÈéÆÚ¸¾Å®½ûÓᣡ£¶¯ÎïÌåÄÚµÄÉúÖ³Ñо¿Åú×¢ÍÐÍé˾Çí¾ßÓÐÅßÌ¥¶¾ÐÔ£¬£¬£¬£¬£¬Ôи¾ÖÐûÓоÙÐдËÏîÑо¿¡£¡£¶¯ÎïÓ¦Ó÷ÅÉä±ê¼ÇµÄÍÐÍé˾ÇíµÄÑо¿ÏÔʾ£¬£¬£¬£¬£¬ÔÚÈéÖÖпɼì²âµ½·ÅÉä»îÐÔ£¬£¬£¬£¬£¬ÏÖÔÚ¶ÔÍÐÍé˾ÇíÊÇ·ñ»á½øÈëµ½ÈËÀàÈéÖÖÐÉв»ÇåÎú¡£¡£
¡¾¶ùͯÓÃÒ©¡¿Ò»°ã²»ÍƼöʹÓ㬣¬£¬£¬£¬È粡ÇéÐèÒª±ØÐèʹÓÃʱ£¬£¬£¬£¬£¬Æä¼ÁÁ¿°Ý¼û¡¾Ó÷¨ÓÃÁ¿¡¿¡£¡£
¡¾ÍíÄêÓÃÒ©¡¿ÍíÄêÈËÓ¦ÓÃÎÞÐèµ÷½â¼ÁÁ¿¡£¡£
¡¾Ò©ÎïÏ໥×÷Óá¿1¡¢ÑÎËáÍÐÍé˾ÇíÈôÓëÀû¸£Æ½»òÆäËü¸ÎøÓÕµ¼Ò©Îï(Èç±½°Í±ÈÍ×)ͬʱʹÓ㬣¬£¬£¬£¬Ôò¿Éµ¼ÖÂÑÎËáÍÐÍé˾ÇíµÄѪ½¬Å¨¶È½µµÍ£¬£¬£¬£¬£¬Òò´Ë´úлÕý³£ÕßÐèÔöÌí¼ÁÁ¿(´úл²»Á¼Õß²»ÐèÔöÌí)¡£¡£2¡¢Ï¸°ûÉ«ËØP450øÒÖÖÆ¼ÁÈçÎ÷ßäÌæ¶¡¶ÔÑÎËáÍÐÍé˾ÇíµÄѪ½¬Å¨¶ÈµÄÓ°Ï죬£¬£¬£¬£¬ÔÚÕý³£Ê¹ÓõÄÇéÐÎÏÂÎÞÐèµ÷½â¼ÁÁ¿¡£¡£3¡¢½ÓÊܾ²ÂöÓ¦Óø߼ÁÁ¿(80mg)ÍÐÍé˾ÇíµÄ»¼ÕßÖÐÊÓ²ì¹âÁÙ´²ÎÞÒâÒåµÄQTcÑÓÉ죬£¬£¬£¬£¬Òò´Ëµ±ÓëÆäËû¿ÉÄܻᵼÖÂQTcÑÓÉìµÄÒ©ÎïÊÊÓÃʱӦºÜÊÇ×¢ÖØ¡£¡£4¡¢ÉÐδ¾ÙÐйýÍÐÍé˾ÇíÓëÂé×í¼ÁµÄÏ໥×÷ÓÃÑо¿¡£¡£
¡¾Ò©Îï¹ýÁ¿¡¿Ö¢×´£º¶à´Î´ó¼ÁÁ¿Ê¹ÓÃʱ¿Éµ¼Ö»ÃÊÓ¡£¡£ÒÑÓиßѪѹ»¼ÕßµÄѪѹ¿ÉÉý¸ß¡£¡£´¦Àí£º¶ÔÖ¢ÖÎÁÆ£¬£¬£¬£¬£¬Ó¦¶Ô»¼ÕßµÄÖ÷ÒªÉúÃüÌåÕ÷×öÑÏÃÜÊÓ²ìºÍ³ÖÐøËæ·Ã¡£¡£
¡¾Ò©Àí¶¾Àí¡¿1¡¢Ò©Àí×÷Ó㺱¾Æ·ÊÇÒ»ÖÖÍâÖÜÉñ¾Ôª¼°ÖÐÊàÉñ¾ÏµÍ³5-ôÇÉ«°·(5-HT3)ÊÜÌåµÄǿЧ¡¢¸ßÑ¡ÔñÐԵľºÕùÞ׿¹¼Á¡£¡£Ä³Ð©ÎïÖʰüÀ¨Ò»Ð©»¯ÁÆÒ©¿ÉÒý·¢ÄÚÔàð¤Ä¤µÄÀàÊȸõϸëÔÊͷųö5-ôÇÉ«°·£¬£¬£¬£¬£¬´Ó¶øÓÕ·¢°é¶ñÐĵÄÍÂÄæ·´Éä¡£¡£±¾Æ·Ö÷Ҫͨ¹ýÑ¡ÔñÐÔµÄ×è¶ÏÍâÖÜÉñ¾ÔªµÄÍ»³öǰĤ5-HT3ÊÜÌå¶øÒÖÖÆÍÂÄæ·´É䣬£¬£¬£¬£¬ÁíÍ⣬£¬£¬£¬£¬ÆäÖ¹ÍÂ×÷ÓÃÒ²¿ÉÄÜÓëÆäͨ¹ý¶ÔÖÐÊà5-HT3ÊÜÌåµÄÖ±½Ó×è¶Ï¶øÒÖÖÆ×îºóÇøµÄÃÔ×ßÉñ¾µÄ´Ì¼¤×÷ÓÃÓйء£¡£2¡¢¶¾ÀíÑо¿£º(1)ÒÅ´«¶¾ÐÔ£¬£¬£¬£¬£¬ÎÄÏ×±¨µÀÑÎËáÍÐÍé˾Çí¶ÔСÊó¹ÇËè΢ºËÎÞÏÔ×ÅÓ°Ï죬£¬£¬£¬£¬ÌåÍâ¸ßŨ¶ÈҲδ¼ûȾɫÌå»û±äºÍÖÂÍ»±ä×÷Óᣡ£(2)ÉúÖ³¶¾ÐÔ£¬£¬£¬£¬£¬¶¯ÎïÉúÖ³¶¾ÐÔÊÔÑéÌáÐѱ¾Æ·ÓÐDZÔÚÅßÌ¥¶¾ÐÔ¡£¡£Éв»ÇåÎú±¾Æ·ÊÇ·ñ¿É½øÈëÈéÖ£¬£¬£¬£¬£¬Òò´Ë²¸ÈéÆÚ¸¾Å®²»Ó¦Ê¹Óñ¾Æ·¡£¡£
¡¾Ò©´ú¶¯Á¦Ñ§¡¿
ÎüÊÕ
Ò©Îï¼ÁÁ¿²î±ð¾ø¶ÔÉúÎïʹÓöÈÓвî±ð£¬£¬£¬£¬£¬5mgÑÎËáÍÐÍé˾Çí¿Ú·þµÄ¾ø¶ÔÉúÎïʹÓöÈԼΪ60%¡£¡£Ïàͬ¼ÁÁ¿µÄ´ï·åʱ¼äΪ1.71Сʱ(tmax=1.71¡À0.58h)¡£¡£5mg¿Ú·þºóCmaxΪ9.2¡À6.8ng/ml¡£¡£
¶ùͯÌåÄÚÒ©ÎïµÄ¾ø¶ÔÉúÎïʹÓöȼ°ÖÕÄ©Ïà°ëË¥ÆÚÓë³ÉÈË¿µ½¡×ÔÔ¸ÕßµÄˮƽÏàËÆ¡£¡£
Õý³£´úл¹¦Ð§(˾°Í¶¡/¶à¾ÛÒìàëÒ)µÄ»¼Õ߿ڷþ5mg£¬£¬£¬£¬£¬ÖðÈÕÒ»´ÎÁ¬ÐøÒ»Öܺ󣬣¬£¬£¬£¬Ã»Óз¢Ã÷ÓÐÒ©ÎïÐî»ýÕ÷Ï󡣡£´úл¹¦Ð§½ÏÂýµÄ»¼ÕßÒ©ÎïµÄѪ½¬Å¨¶ÈÊÇÕý³£ÕßµÄ2.5±¶£¬£¬£¬£¬£¬µ«²¢²»±Èͳһ»¼Õß¾²ÂöÓ¦ÓÃ5mgµÄŨ¶È¸ß¡£¡£»£»£»¼Õß¶ÔÕâÒ»¼ÁÁ¿Ë®Æ½Ò©ÎïµÄÄÍÊÜÐÔÓÅÒì¡£¡£
ÂþÑÜ
ÍÐÍé˾ÇíÓëѪ½¬ÂѰ׵ÄÁ¬ÏµÂÊΪ71%(Ö÷ÒªÊÇal-ÌÇÂѰ×)£¬£¬£¬£¬£¬ÕâÖÖÁ¬ÏµÊÇ·ÇÌØÒìÐԵġ£¡£³ÉÈ˵ÄÂþÑÜÈÝ»ýԼΪ400-600Éý£¬£¬£¬£¬£¬3-6Ëê¶ùͯԼΪ145Éý£¬£¬£¬£¬£¬7-15ËêԼΪ265Éý¡£¡£
´úл
ÍÐÍé˾ÇíµÄ´úлÓë˾°Í¶¡/¶à¾ÛÒìàëÒÏà¹Ø(ϸ°ûÉ«ËØP450IID6)£¬£¬£¬£¬£¬¸ß¼ÓË÷ÈËÖÖÖÐÔ¼ÓÐ8%ȱ·¦ÕâÖÖø¡£¡£
ÍÐÍé˾ÇíÔÚÆäßÅßá»·µÄ5£¬£¬£¬£¬£¬6»ò7λ±»ôÇ»ù»¯¶ø´úл£¬£¬£¬£¬£¬Ëæºó±»ÆÏÌÑÌÇÈ©Ëữ»òÓëÁòËá¸ùÁ¬ÏµÍ¨¹ýÄòÒº»òµ¨ÖÇãÔþÌåÍâ(ÄòÒº£º·à±ã=5£º1)¡£¡£
´úлÎïÓë5-HT3ÊÜÌåµÄÇ׺ÍÁ¦ºÜµÍ£¬£¬£¬£¬£¬ÓëÒ©ÎïµÄÒ©Àí×÷Óûù±¾Î޹ء£¡£
ÖØ¸´Ó¦ÓÃÍÐÍé˾Çí10mgÒÔÉÏ¡¢ÖðÈÕÁ½´Î»áµ¼Ö¸ÎÔàÖÐÓëÍÐÍé˾Çí´úлÏà¹ØµÄøϵ±¥ºÍ£¬£¬£¬£¬£¬Ö»¹Ü²»»áÁè¼ÝÂý´úлÕß×î¼ÑÄÍÊÜˮƽµÄÉÏÏÞ£¬£¬£¬£¬£¬µ«ÕâÈԻᵼÖ¼ÁÁ¿Ïà¹ØµÄѪ½¬Å¨¶ÈµÄÉÏÉý¡£¡£ÖðÈÕÓ¦ÓÃÒ»´Î5mgÍÐÍé˾ÇíÓÃÓÚÔ¤·Àϸ°û¶¾ÐÔÒ©ÎïËùÒýÆðµÄ¶ñÐÄ¡¢ÍÂÄæ£¬£¬£¬£¬£¬²»»áÒýÆðÁÙ´²Ïà¹ØµÄÐî»ý×÷Óᣡ£
Ïû³ý
Õý³£´úлÕßÏû³ýÏà(¦ÂÏà)°ëË¥ÆÚԼΪ8Сʱ£¬£¬£¬£¬£¬¶øÂý´úлÕßԼΪ45Сʱ¡£¡£
Õý³£´úлÕßÌåÄÚÔ¼ÓÐ8%ÒÔÕæÏàÒ©Îï¾ÄòÒºÇãÔþ£¬£¬£¬£¬£¬¶ø70%ÒÔ´úлÎïµÄÐÎʽÇãÔþ£»£»£»ÁíÍâ15%ÏÕЩÍêÈ«ÒÔ´úлÎïµÄÐÎʽ´Ó·à±ãÖÐÇãÔþ¡£¡£
Âý´úлÕßÄòÒºÖÐÇãÔþµÄÒ©ÎïÕæÏàÒª¸ßÓÚÕý³£´úлÕß¡£¡£
×Üɨ³ýÂÊΪ1L/min£¬£¬£¬£¬£¬ÉöÔàɨ³ýÔ¼Õ¼10%£¬£¬£¬£¬£¬Âý´úлÕßµÄ×Üɨ³ýÂʽöΪ0.1-0.2L/min£¬£¬£¬£¬£¬µ«ÉöÔàɨ³ýÂÊÎȹ̡£¡£ÕâÖÖ·ÇÉöÔàɨ³ýÂʵÄϽµµ¼ÖÂÖÕÄ©°ëË¥ÆÚÑÓÉì4-5±¶¡£¡£AUCµÄÖµÉý¸ß5-7±¶¡£¡£
¡¾Öü²Ø¡¿Õڹ⣬£¬£¬£¬£¬Ãܱգ¬£¬£¬£¬£¬Á¹°µ´¦(±Ü¹â²¢²»Áè¼Ý20¡æ)ÉúÑÄ¡£¡£
¡¾°ü×°¡¿µÍÅð¹è²£Á§°²ê³£º5ml¡Á1Ö§/ºÐ£»£»£»5ml¡Á5Ö§/ºÐ¡£¡£
¡¾ÓÐÓÃÆÚ¡¿18¸öÔ¡£¡£
¡¾Ö´Ðбê×¼¡¿¡¶ÖйúÒ©µä¡·2020Äê°æ¶þ²¿
¡¾Åú×¼Îĺš¿¹úÒ©×¼×ÖH20052476
¡¾ÉÏÊÐÔÊÐí³ÖÓÐÈË¡¿Ãû³Æ£ºÉ½Î÷304amÓÀÀû¼¯ÍÅÖÆÒ©¹É·ÝÓÐÏÞ¹«Ë¾
×¢²áµØµã£ºÉ½Î÷Ê¡³¤ÖÎÊÐÉϵ³Çø×ÆË¸ÄÏ·304amÓÀÀû¼¯ÍſƼ¼Ô°
¡¾Éú²úÆóÒµ¡¿ÆóÒµÃû³Æ£ºÉ½Î÷304amÓÀÀû¼¯ÍÅÖÆÒ©¹É·ÝÓÐÏÞ¹«Ë¾
Éú²úµØµã£ºÉ½Î÷Ê¡³¤ÖÎÊÐÉϵ³Çø×ÆË¸ÄÏ·304amÓÀÀû¼¯ÍſƼ¼Ô°
ÓÊÕþ±àÂ룺047100
µç»°ºÅÂ룺0355-8096088
´«ÕæºÅÂ룺0355-8096055
꿅᣼www.zdjt.com

¡¾Ò©Æ·Ãû³Æ¡¿Í¨ÓÃÃû³Æ£ºÑÎËáÍÐÍé˾Çí×¢ÉäÒº
ÉÌÆ·Ãû³Æ£ºÑÒµÏ
Ó¢ÎÄÃû³Æ£ºTropisetron Hydrochloride Injection
ººÓïÆ´Òô£ºYansuan Tuowansiqiong Zhusheye
¡¾³É·Ý¡¿±¾Æ·Ö÷Òª³É·ÝΪ£ºÑÎËáÍÐÍé˾Çí¡£¡£
»¯Ñ§Ãû³Æ£ºßÅßá-3-¼×Ëá1¦ÁH£¬£¬£¬£¬£¬5¦ÁH-ÍÐÆ·-3¦Á-´¼õ¥ÑÎËáÑΡ£¡£
»¯Ñ§½á¹¹Ê½£º

·Ö×Óʽ£ºC17H20N2O2¡¤HCL
·Ö×ÓÁ¿£º320.81
¸¨ÁÏΪ£º×¢ÉäÓÃË®¡£¡£
¡¾ÐÔ×´¡¿±¾Æ·ÎªÎÞÉ«µÄ³ÎÃ÷ÒºÌå¡£¡£
¡¾Ë³Ó¦Ö¢¡¿Ô¤·ÀºÍÖÎÁư©Ö¢»¯ÁÆÒýÆðµÄ¶ñÐĺÍÍÂÄæ£»£»£»ÖÎÁÆÊÖÊõºóµÄ¶ñÐĺÍÍÂÄæ¡£¡£
¡¾¹æ¸ñ¡¿5ml£º5.64mg(Ï൱ÓÚÍÐÍé˾Çí5mg)
¡¾Ó÷¨ÓÃÁ¿¡¿1¡¢Ô¤·ÀºÍÖÎÁư©Ö¢»¯ÁÆÒýÆðµÄ¶ñÐĺÍÍÂÄæ£ºÔÚÈκλ¯ÁÆÖÜÆÚÖУ¬£¬£¬£¬£¬±¾Æ·×î¶à¿ÉÓ¦ÓÃ6Ìì¡£¡£(1)³ÉÈË£ºÍƼö¼ÁÁ¿Îª5mg/Ìì¡£¡£ÍƼöµÚÒ»Ìì½ÓÄɾ²Âö;¾¶¸øÒ©£¬£¬£¬£¬£¬ÒÔºó¸ÄΪ¿Ú·þ¸øÒ©ÌìÌìÒ»´Î×î¶à5Ìì¡£¡£²ÎÕÕÒÔÏÂÒªÁì¸øÒ©£ºµÚ1Ìì¾²Âö¸øÒ©£º½«±¾Æ·5mg(1°²ê³)ÈÜÓÚ100ºÁÉý³£ÓÃÊä×¢ÒºÖÐ(ÐÄÀíÑÎË®¡¢ÁÖ¸ñÊÏÒº»ò5%ÆÏÌÑÌÇÈÜÒº)ÔÚ»¯ÁÆÇ°¿ìËÙ¾²ÂöµÎ×¢(15·ÖÖÓÒÔÉÏ)£»£»£»»ò»ºÂý¾²ÂöÍÆ×¢(ËÙÂÊΪ2mg/min£¬£¬£¬£¬£¬5mg/5mlµÄ°²ê³Ô¼3·ÖÖÓ×¢ÉäÍê)£»£»£»»ò»ºÂý¼ÓÈëÒÑÓеľ²ÂöÊäÒºÖС£¡£µÚ2¡«6Ìì¿Ú·þ¸øÒ©£ºÌìÌìÒ»´Î¿Ú·þ¸øÒ©5mg£¬£¬£¬£¬£¬ÓÚÔ糿Æð´²Ê±(ÖÁÉÙÓÚÔç²Íǰ1Сʱ)ÓÃË®ËÍ·þ¡£¡£(2)¶ùͯ£ºÒ»°ã²»ÍƼöÓÃÓÚ¶ùͯ£¬£¬£¬£¬£¬È粡ÇéÐèÒª±ØÐèʹÓÃʱ£¬£¬£¬£¬£¬¿É²ÎÕÕÈçÏÂÒªÁì¸øÒ©£º2ËêÒÔÉ϶ùÍ¯ÍÆ¼ö¼ÁÁ¿0.1mg/Kg£¬£¬£¬£¬£¬×î¸ß¿É´ï5mg/Ìì¡£¡£µÚ1Ìì¾²Âö¸øÒ©£º½«±¾Æ·5mgÈÜÓÚ100ml³£ÓÃÊä×¢ÒºÖÐ(ÐÄÀíÑÎË®¡¢ÁÖ¸ñÊÏÒº»ò5%ÆÏÌÑÌÇÈÜÒº)ÓÚ»¯ÁÆÇ°¿ìËÙ¾²ÂöµÎ×¢15·ÖÖÓÒÔÉÏ»ò»ºÂý¾²ÂöÍÆ×¢»ò»ºÂý¼ÓÈëÒÑÓеľ²ÂöÊäÒºÖУ¬£¬£¬£¬£¬µÚ2~6Ìì¿É¸ÄΪ¿Ú·þ¸øÒ©£º´Ó°²ê³ÖÐÈ¡ÊÊÁ¿µÄÑÎËáÍÐÍé˾Çí×¢ÉäÒº£¬£¬£¬£¬£¬ÓýÛ×ÓÖ»ò¿ÉÀÖÏ¡Êͺ󣬣¬£¬£¬£¬ÔÚÔ糿Æð´²Ê±(ÖÁÉÙÓÚÔç²Íǰ1Сʱ)ѸËÙ·þÏ¡£¡£2¡¢ÖÎÁÆÊÖÊõºóµÄ¶ñÐÄÍÂÄæ£º³ÉÈËÍÆ¼ö¼ÁÁ¿Îª2mg£¬£¬£¬£¬£¬ÈÜÓÚÐÄÀíÑÎË®¡¢ÁÖ¸ñÊÏÒº»ò5%ÆÏÌÑÌÇÈÜÒºÄÚ¾²ÂöÊä×¢»ò»ºÂý¾²Âö×¢Éä(30ÃëÒÔÉÏ)¡£¡£ÏÖÔÚûÓжùͯÊõºóÓ¦ÓõÄÂÄÀú¡£¡£3¡¢Ë¾°Í¶¡/¶à¾ÛÒìàëÒÂý´úлÕßµÄÓ¦ÓãºÖ»¹ÜÂý´úлÕßÏû³ýÏà°ëË¥ÆÚ±ÈÕý³£´úлÕß³¤4-5±¶£¬£¬£¬£¬£¬µ«Ó¦ÓÃÍÆ¼ö¼ÁÁ¿µÄÍÐÍé˾ÇíûÓÐÒ©ÎïÒýÆð¶¾ÐÔ·´Ó³µÄ±¨µÀ¡£¡£Òò´Ë£¬£¬£¬£¬£¬ÔÚΪÆÚ6ÌìµÄÓ¦ÓÃÖУ¬£¬£¬£¬£¬Âý´úлÕßÎÞÐè¼õµÍ¼ÁÁ¿¡£¡£ÕâЩ»¼ÕßÖÐ×î³£¼ûÍ·Í´ºÍ±ãÃØµÄ±¨µÀ(¼û²»Á¼·´Ó³)¡£¡£4¡¢¸Î»òÉö¹¦Ð§²»È«»¼ÕßµÄÓ¦Ó㺸ÎÓ²»¯»òÉö¹¦Ð§²»È«»¼ÕßµÄѪ½¬Ò©ÎïŨ¶ÈÔò½ÏÕý³£´úлµÄ¿µ½¡×ÔÔ¸Õ߸ßÔ¼50%£¬£¬£¬£¬£¬µ«ÔÚ¼±ÐÔ¸ÎÑ×»òÖ¬·¾¸Î»¼ÕßÖУ¬£¬£¬£¬£¬ÑÎËáÍÐÍé˾ÇíµÄÒ©´ú¶¯Á¦Ñ§Î޸ı䡣¡£½öÔÚ¾²ÂöÓ¦ÓÃʱÐè¼õÁ¿50%¡£¡£
¡¾²»Á¼·´Ó³¡¿ÁÙ´²Ñо¿ÖÐ×î³£±¨µÀµÄ²»Á¼·´Ó³ÎªÓ¦ÓÃ2mgÒýÆðµÄÍ·Í´(22%)¼°Ó¦ÓÃ5mgÒýÆðµÄ±ãÃØ(11%)¡£¡£¿µ½¡×ÔÔ¸ÕßÖУ¬£¬£¬£¬£¬ÕâЩ²»Á¼·´Ó³ÔÚÂý´úлÕßÖбÈÕý³£´úлÕ߸üΪ³£¼û(¼û˾°Í¶¡/¶à¾ÛÒìàëÒÂý´úлÕßµÄÓ¦ÓÃ)¡£¡£ÎÞÒâÒ²ÓÐÍ·ÔΡ¢Æ£·¦¡¢Î¸³¦¹¦Ð§ÔÓÂÒÈ縹ʹºÍ¸¹ÐºµÄ±¨µÀ(0.1-5%)¡£¡£ÓëÆäËû5-HT3ÊÜÌåÞ׿¹¼ÁÏàËÆ£¬£¬£¬£¬£¬Ò²ÓÐÐéÍÑ¡¢ÔÎØÊºÍÐÄÌø×èÖ¹µÄ¸ö°¸±¨µÀ£»£»£»µ«ÕâЩÊÂÎñÓëÍÐÍé˾ÇíµÄʹÓÃûÓÐÈ·ÇеÄÒò¹û¹ØÏµ£¬£¬£¬£¬£¬ÕâЩ·´Ó³¿ÉÄÜ»áÓÉϸ°û¶¾ÐÔÒ©Îï»òÔÓеļ²²¡ÒýÆð¡£¡£ÓëÆäËû5-HT3ÊÜÌåÞ׿¹¼ÁÏàËÆ£¬£¬£¬£¬£¬Ò²ÓÐÒÔÏÂÒ»ÖÖ»ò¶àÖÖIÐÍʧ³£·´Ó³±¬·¢µÄ¸ö°¸±¨µÀ£ºÃ沿³±ºìºÍ/»òÈ«Éí·çÕî¡¢ÐØ²¿Õ¥È¡¸Ð¡¢ºôÎüÄÑÌâ¡¢¼±ÐÔÖ§Æø¹Ü¾·Âκ͵ÍѪѹ¡£¡£ÔÚÉÏÊкóÓ¦ÓÃʱ´ú£¬£¬£¬£¬£¬±¨¸æÁ˺ÜÊÇÓÐÊýµÄ¹ýÃô·´Ó³£ºÆ¤Õî¡¢ºì°ß¡¢¹ýÃôÐÔÐݿˡ£¡£ÓÉÓÚ±¬·¢ÕâЩ±¨¸æµÄ»¼ÕßÈËÊýδÃ÷È·£¬£¬£¬£¬£¬ÇÒ¿ÉÄܱ£´æ»ìÏýÒòËØ£¬£¬£¬£¬£¬Òò´Ë²»¿É׼ȷ¹ÀËãÒ©Îï²»Á¼·´Ó³±¬·¢ÂÊ»òÈ·¶¨ÓëÒ©ÎïµÄÒò¹û¹ØÏµ¡£¡£
¡¾½û¼É¡¿Ôи¾½ûÓᣡ£¶ÔÍÐÍé˾Çí¹ýÃô»òÆäËû5-HT3ÊÜÌåÞ׿¹¼Á(Èç¶÷µ¤Î÷ͪ¡¢¸ñÀ˾Çí)»òÈκÎÒ»ÖÖ¸³ÐμÁ¹ýÃôµÄ»¼Õß½ûÓᣡ£
¡¾×¢ÖØÊÂÏî¡¿1¡¢¸ßѪѹδ¿ØÖƵϼÕߣ¬£¬£¬£¬£¬ÓÃÒ©ºó¿ÉÄÜÒýÆðѪѹ½øÒ»²½Éý¸ß£¬£¬£¬£¬£¬¹Ê¸ßѪѹµÄ»¼ÕßÓ¦É÷Ó㬣¬£¬£¬£¬ÆäÓÃÁ¿²»ÒËÁè¼Ý10ºÁ¿Ë/Ìì¡£¡£2¡¢ÑÎËáÍÐÍé˾Çí³£¼ûµÄ²»Á¼·´Ó³ÊÇÍ·ÔÎºÍÆ£ÀÍ£¬£¬£¬£¬£¬»¼Õß·þÒ©ºóÔڼݳµ»òʹÓûúеÕßÓ¦É÷Óᣡ£3¡¢¸ÎÉö¹¦Ð§ÕϰÕßʹÓñ¾Æ·°ëË¥ÆÚÑÓÉ죬£¬£¬£¬£¬µ«ÕâÖÖת±äÔÚÌìÌì5mg£¬£¬£¬£¬£¬Á¬ÐøÓÃÒ©6ÌìµÄÖÎÁÆÖв»»á±¬·¢Ò©ÎïÐî»ý¡£¡£4¡¢ÓÐÐÄÂÊ»ò´«µ¼Òì³£¼²²¡µÄ»¼ÕßÒÔ¼°Í¬Ê±·þÓÿ¹ÐÄÂÊʧ³£Ò©Îï»ò¦ÂÊÜÌå×èÖͼÁµÄ»¼ÕßÓ¦É÷Óᣡ£
¡¾Ôи¾¼°²¸ÈéÆÚ¸¾Å®ÓÃÒ©¡¿Ôи¾¼°²¸ÈéÆÚ¸¾Å®½ûÓᣡ£¶¯ÎïÌåÄÚµÄÉúÖ³Ñо¿Åú×¢ÍÐÍé˾Çí¾ßÓÐÅßÌ¥¶¾ÐÔ£¬£¬£¬£¬£¬Ôи¾ÖÐûÓоÙÐдËÏîÑо¿¡£¡£¶¯ÎïÓ¦Ó÷ÅÉä±ê¼ÇµÄÍÐÍé˾ÇíµÄÑо¿ÏÔʾ£¬£¬£¬£¬£¬ÔÚÈéÖÖпɼì²âµ½·ÅÉä»îÐÔ£¬£¬£¬£¬£¬ÏÖÔÚ¶ÔÍÐÍé˾ÇíÊÇ·ñ»á½øÈëµ½ÈËÀàÈéÖÖÐÉв»ÇåÎú¡£¡£
¡¾¶ùͯÓÃÒ©¡¿Ò»°ã²»ÍƼöʹÓ㬣¬£¬£¬£¬È粡ÇéÐèÒª±ØÐèʹÓÃʱ£¬£¬£¬£¬£¬Æä¼ÁÁ¿°Ý¼û¡¾Ó÷¨ÓÃÁ¿¡¿¡£¡£
¡¾ÍíÄêÓÃÒ©¡¿ÍíÄêÈËÓ¦ÓÃÎÞÐèµ÷½â¼ÁÁ¿¡£¡£
¡¾Ò©ÎïÏ໥×÷Óá¿1¡¢ÑÎËáÍÐÍé˾ÇíÈôÓëÀû¸£Æ½»òÆäËü¸ÎøÓÕµ¼Ò©Îï(Èç±½°Í±ÈÍ×)ͬʱʹÓ㬣¬£¬£¬£¬Ôò¿Éµ¼ÖÂÑÎËáÍÐÍé˾ÇíµÄѪ½¬Å¨¶È½µµÍ£¬£¬£¬£¬£¬Òò´Ë´úлÕý³£ÕßÐèÔöÌí¼ÁÁ¿(´úл²»Á¼Õß²»ÐèÔöÌí)¡£¡£2¡¢Ï¸°ûÉ«ËØP450øÒÖÖÆ¼ÁÈçÎ÷ßäÌæ¶¡¶ÔÑÎËáÍÐÍé˾ÇíµÄѪ½¬Å¨¶ÈµÄÓ°Ï죬£¬£¬£¬£¬ÔÚÕý³£Ê¹ÓõÄÇéÐÎÏÂÎÞÐèµ÷½â¼ÁÁ¿¡£¡£3¡¢½ÓÊܾ²ÂöÓ¦Óø߼ÁÁ¿(80mg)ÍÐÍé˾ÇíµÄ»¼ÕßÖÐÊÓ²ì¹âÁÙ´²ÎÞÒâÒåµÄQTcÑÓÉ죬£¬£¬£¬£¬Òò´Ëµ±ÓëÆäËû¿ÉÄܻᵼÖÂQTcÑÓÉìµÄÒ©ÎïÊÊÓÃʱӦºÜÊÇ×¢ÖØ¡£¡£4¡¢ÉÐδ¾ÙÐйýÍÐÍé˾ÇíÓëÂé×í¼ÁµÄÏ໥×÷ÓÃÑо¿¡£¡£
¡¾Ò©Îï¹ýÁ¿¡¿Ö¢×´£º¶à´Î´ó¼ÁÁ¿Ê¹ÓÃʱ¿Éµ¼Ö»ÃÊÓ¡£¡£ÒÑÓиßѪѹ»¼ÕßµÄѪѹ¿ÉÉý¸ß¡£¡£´¦Àí£º¶ÔÖ¢ÖÎÁÆ£¬£¬£¬£¬£¬Ó¦¶Ô»¼ÕßµÄÖ÷ÒªÉúÃüÌåÕ÷×öÑÏÃÜÊÓ²ìºÍ³ÖÐøËæ·Ã¡£¡£
¡¾Ò©Àí¶¾Àí¡¿1¡¢Ò©Àí×÷Ó㺱¾Æ·ÊÇÒ»ÖÖÍâÖÜÉñ¾Ôª¼°ÖÐÊàÉñ¾ÏµÍ³5-ôÇÉ«°·(5-HT3)ÊÜÌåµÄǿЧ¡¢¸ßÑ¡ÔñÐԵľºÕùÞ׿¹¼Á¡£¡£Ä³Ð©ÎïÖʰüÀ¨Ò»Ð©»¯ÁÆÒ©¿ÉÒý·¢ÄÚÔàð¤Ä¤µÄÀàÊȸõϸëÔÊͷųö5-ôÇÉ«°·£¬£¬£¬£¬£¬´Ó¶øÓÕ·¢°é¶ñÐĵÄÍÂÄæ·´Éä¡£¡£±¾Æ·Ö÷Ҫͨ¹ýÑ¡ÔñÐÔµÄ×è¶ÏÍâÖÜÉñ¾ÔªµÄÍ»³öǰĤ5-HT3ÊÜÌå¶øÒÖÖÆÍÂÄæ·´É䣬£¬£¬£¬£¬ÁíÍ⣬£¬£¬£¬£¬ÆäÖ¹ÍÂ×÷ÓÃÒ²¿ÉÄÜÓëÆäͨ¹ý¶ÔÖÐÊà5-HT3ÊÜÌåµÄÖ±½Ó×è¶Ï¶øÒÖÖÆ×îºóÇøµÄÃÔ×ßÉñ¾µÄ´Ì¼¤×÷ÓÃÓйء£¡£2¡¢¶¾ÀíÑо¿£º(1)ÒÅ´«¶¾ÐÔ£¬£¬£¬£¬£¬ÎÄÏ×±¨µÀÑÎËáÍÐÍé˾Çí¶ÔСÊó¹ÇËè΢ºËÎÞÏÔ×ÅÓ°Ï죬£¬£¬£¬£¬ÌåÍâ¸ßŨ¶ÈҲδ¼ûȾɫÌå»û±äºÍÖÂÍ»±ä×÷Óᣡ£(2)ÉúÖ³¶¾ÐÔ£¬£¬£¬£¬£¬¶¯ÎïÉúÖ³¶¾ÐÔÊÔÑéÌáÐѱ¾Æ·ÓÐDZÔÚÅßÌ¥¶¾ÐÔ¡£¡£Éв»ÇåÎú±¾Æ·ÊÇ·ñ¿É½øÈëÈéÖ£¬£¬£¬£¬£¬Òò´Ë²¸ÈéÆÚ¸¾Å®²»Ó¦Ê¹Óñ¾Æ·¡£¡£
¡¾Ò©´ú¶¯Á¦Ñ§¡¿
ÎüÊÕ
Ò©Îï¼ÁÁ¿²î±ð¾ø¶ÔÉúÎïʹÓöÈÓвî±ð£¬£¬£¬£¬£¬5mgÑÎËáÍÐÍé˾Çí¿Ú·þµÄ¾ø¶ÔÉúÎïʹÓöÈԼΪ60%¡£¡£Ïàͬ¼ÁÁ¿µÄ´ï·åʱ¼äΪ1.71Сʱ(tmax=1.71¡À0.58h)¡£¡£5mg¿Ú·þºóCmaxΪ9.2¡À6.8ng/ml¡£¡£
¶ùͯÌåÄÚÒ©ÎïµÄ¾ø¶ÔÉúÎïʹÓöȼ°ÖÕÄ©Ïà°ëË¥ÆÚÓë³ÉÈË¿µ½¡×ÔÔ¸ÕßµÄˮƽÏàËÆ¡£¡£
Õý³£´úл¹¦Ð§(˾°Í¶¡/¶à¾ÛÒìàëÒ)µÄ»¼Õ߿ڷþ5mg£¬£¬£¬£¬£¬ÖðÈÕÒ»´ÎÁ¬ÐøÒ»Öܺ󣬣¬£¬£¬£¬Ã»Óз¢Ã÷ÓÐÒ©ÎïÐî»ýÕ÷Ï󡣡£´úл¹¦Ð§½ÏÂýµÄ»¼ÕßÒ©ÎïµÄѪ½¬Å¨¶ÈÊÇÕý³£ÕßµÄ2.5±¶£¬£¬£¬£¬£¬µ«²¢²»±Èͳһ»¼Õß¾²ÂöÓ¦ÓÃ5mgµÄŨ¶È¸ß¡£¡£»£»£»¼Õß¶ÔÕâÒ»¼ÁÁ¿Ë®Æ½Ò©ÎïµÄÄÍÊÜÐÔÓÅÒì¡£¡£
ÂþÑÜ
ÍÐÍé˾ÇíÓëѪ½¬ÂѰ׵ÄÁ¬ÏµÂÊΪ71%(Ö÷ÒªÊÇal-ÌÇÂѰ×)£¬£¬£¬£¬£¬ÕâÖÖÁ¬ÏµÊÇ·ÇÌØÒìÐԵġ£¡£³ÉÈ˵ÄÂþÑÜÈÝ»ýԼΪ400-600Éý£¬£¬£¬£¬£¬3-6Ëê¶ùͯԼΪ145Éý£¬£¬£¬£¬£¬7-15ËêԼΪ265Éý¡£¡£
´úл
ÍÐÍé˾ÇíµÄ´úлÓë˾°Í¶¡/¶à¾ÛÒìàëÒÏà¹Ø(ϸ°ûÉ«ËØP450IID6)£¬£¬£¬£¬£¬¸ß¼ÓË÷ÈËÖÖÖÐÔ¼ÓÐ8%ȱ·¦ÕâÖÖø¡£¡£
ÍÐÍé˾ÇíÔÚÆäßÅßá»·µÄ5£¬£¬£¬£¬£¬6»ò7λ±»ôÇ»ù»¯¶ø´úл£¬£¬£¬£¬£¬Ëæºó±»ÆÏÌÑÌÇÈ©Ëữ»òÓëÁòËá¸ùÁ¬ÏµÍ¨¹ýÄòÒº»òµ¨ÖÇãÔþÌåÍâ(ÄòÒº£º·à±ã=5£º1)¡£¡£
´úлÎïÓë5-HT3ÊÜÌåµÄÇ׺ÍÁ¦ºÜµÍ£¬£¬£¬£¬£¬ÓëÒ©ÎïµÄÒ©Àí×÷Óûù±¾Î޹ء£¡£
ÖØ¸´Ó¦ÓÃÍÐÍé˾Çí10mgÒÔÉÏ¡¢ÖðÈÕÁ½´Î»áµ¼Ö¸ÎÔàÖÐÓëÍÐÍé˾Çí´úлÏà¹ØµÄøϵ±¥ºÍ£¬£¬£¬£¬£¬Ö»¹Ü²»»áÁè¼ÝÂý´úлÕß×î¼ÑÄÍÊÜˮƽµÄÉÏÏÞ£¬£¬£¬£¬£¬µ«ÕâÈԻᵼÖ¼ÁÁ¿Ïà¹ØµÄѪ½¬Å¨¶ÈµÄÉÏÉý¡£¡£ÖðÈÕÓ¦ÓÃÒ»´Î5mgÍÐÍé˾ÇíÓÃÓÚÔ¤·Àϸ°û¶¾ÐÔÒ©ÎïËùÒýÆðµÄ¶ñÐÄ¡¢ÍÂÄæ£¬£¬£¬£¬£¬²»»áÒýÆðÁÙ´²Ïà¹ØµÄÐî»ý×÷Óᣡ£
Ïû³ý
Õý³£´úлÕßÏû³ýÏà(¦ÂÏà)°ëË¥ÆÚԼΪ8Сʱ£¬£¬£¬£¬£¬¶øÂý´úлÕßԼΪ45Сʱ¡£¡£
Õý³£´úлÕßÌåÄÚÔ¼ÓÐ8%ÒÔÕæÏàÒ©Îï¾ÄòÒºÇãÔþ£¬£¬£¬£¬£¬¶ø70%ÒÔ´úлÎïµÄÐÎʽÇãÔþ£»£»£»ÁíÍâ15%ÏÕЩÍêÈ«ÒÔ´úлÎïµÄÐÎʽ´Ó·à±ãÖÐÇãÔþ¡£¡£
Âý´úлÕßÄòÒºÖÐÇãÔþµÄÒ©ÎïÕæÏàÒª¸ßÓÚÕý³£´úлÕß¡£¡£
×Üɨ³ýÂÊΪ1L/min£¬£¬£¬£¬£¬ÉöÔàɨ³ýÔ¼Õ¼10%£¬£¬£¬£¬£¬Âý´úлÕßµÄ×Üɨ³ýÂʽöΪ0.1-0.2L/min£¬£¬£¬£¬£¬µ«ÉöÔàɨ³ýÂÊÎȹ̡£¡£ÕâÖÖ·ÇÉöÔàɨ³ýÂʵÄϽµµ¼ÖÂÖÕÄ©°ëË¥ÆÚÑÓÉì4-5±¶¡£¡£AUCµÄÖµÉý¸ß5-7±¶¡£¡£
¡¾Öü²Ø¡¿Õڹ⣬£¬£¬£¬£¬Ãܱգ¬£¬£¬£¬£¬Á¹°µ´¦(±Ü¹â²¢²»Áè¼Ý20¡æ)ÉúÑÄ¡£¡£
¡¾°ü×°¡¿µÍÅð¹è²£Á§°²ê³£º5ml¡Á1Ö§/ºÐ£»£»£»5ml¡Á5Ö§/ºÐ¡£¡£
¡¾ÓÐÓÃÆÚ¡¿18¸öÔ¡£¡£
¡¾Ö´Ðбê×¼¡¿¡¶ÖйúÒ©µä¡·2020Äê°æ¶þ²¿
¡¾Åú×¼Îĺš¿¹úÒ©×¼×ÖH20052476
¡¾ÉÏÊÐÔÊÐí³ÖÓÐÈË¡¿Ãû³Æ£ºÉ½Î÷304amÓÀÀû¼¯ÍÅÖÆÒ©¹É·ÝÓÐÏÞ¹«Ë¾
×¢²áµØµã£ºÉ½Î÷Ê¡³¤ÖÎÊÐÉϵ³Çø×ÆË¸ÄÏ·304amÓÀÀû¼¯ÍſƼ¼Ô°
¡¾Éú²úÆóÒµ¡¿ÆóÒµÃû³Æ£ºÉ½Î÷304amÓÀÀû¼¯ÍÅÖÆÒ©¹É·ÝÓÐÏÞ¹«Ë¾
Éú²úµØµã£ºÉ½Î÷Ê¡³¤ÖÎÊÐÉϵ³Çø×ÆË¸ÄÏ·304amÓÀÀû¼¯ÍſƼ¼Ô°
ÓÊÕþ±àÂ룺047100
µç»°ºÅÂ룺0355-8096088
´«ÕæºÅÂ룺0355-8096055
꿅᣼www.zdjt.com
